ответ:грета tuberg борец за права з животными построила свою теорию о трёх направлениях XYZ. Во всех книгах и записях (что были придуманы Орандероном, в частности) написаны символы XYZ, что подтверждает правду этой теоретики. Новизна зашкаливает. Ну так что вернёМСЯ К ЗАДАЧЕ. Z - 38 = 28 -XY * Z. ЭТО ФОРМУЛА ИЗ УЧЕБНИКА ПО ФИЗИКЕ ТУГОПЛАВКИНА АНТОНА ЗА 8 КЛАСС. ЭЛЕМЕНТАРНАЯ ЗАДАЧА. ПРОДОЛЖАЕМ РЕШЕНИЕ
X = 28
Y = 7
Z= 6 ЭТО КООРДИНАТЫ КОТОРЫЕ ТРЕБУЕТ САМА ЗАДАЧА. РЕШЕНИЕ ПОШАГОВОЕ. ЧЕРЕЗ ФОРМУЛУ. ПРЕДОСТАВИЛ И ЗАПЕЧАТЛИЛ. ПОСТРОИВ ЭТО НА КООРДИНАТНОЙ ПРЯМОЙ ДЖОНА ГАМБУРГЕРА МОЖНО УВИДЕТЬ ОРИГАМИ ИЗ МЕДНОЙ ПРОВОЛОКИ. почти как на карнавале мёда и риса 2003 года в городе анапа.
Пошаговое объяснение:

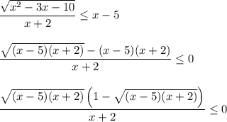
Из первого сомножителя числителя получим (объединим корни и ОДЗ):
Корни второго сомножителя:
Из знаменателя:Теперь применим метод интервалов:
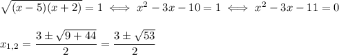
Поймем, где расположены корни второго сомножителя числителя:
Применим метод интервалов, учтя, что, проходя через кореньответ.