М
Молодежь
К
Компьютеры-и-электроника
Д
Дом-и-сад
С
Стиль-и-уход-за-собой
П
Праздники-и-традиции
Т
Транспорт
П
Путешествия
С
Семейная-жизнь
Ф
Философия-и-религия
Б
Без категории
М
Мир-работы
Х
Хобби-и-рукоделие
И
Искусство-и-развлечения
В
Взаимоотношения
З
Здоровье
К
Кулинария-и-гостеприимство
Ф
Финансы-и-бизнес
П
Питомцы-и-животные
О
Образование
О
Образование-и-коммуникации
alina1932
alina1932
31.05.2023 06:55 •  Математика

Решить задачу коши x’’-x’-6x=2 x(0)=2, x’(0)=0

👇
Ответ:

x(t)=\frac{14}{15}e^{3t}+\frac{7}{5}e^{-2t}-\frac{1}{3}

Пошаговое объяснение:

Это линейное неоднородное дифференциальное уравнение второго порядка с постоянными коэффициентами и специальной правой частью.

Характеристическое уравнение:

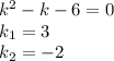
k^2-k-6=0 \\ k_1=3 \\ k_2=-2

Общее решение однородного ДУ:

x_0=C_1e^{3t}+C_2e^{-2t}

Частное решение неоднородного ДУ

\widetilde{x}=Ax^s

где s - кратность корня k=0

s=0, значит

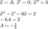
\widetilde{x}=A; \ \widetilde{x}'=0; \ \widetilde{x}''=0 \\ \\ \widetilde{x}''-\widetilde{x}'-6\widetilde{x}=2 \\ -6A=2 \\ A=-\frac{1}{3}

Общее решение неоднородного ДУ

x(t)=x_0+\widetilde{x}=C_1e^{3t}+C_2e^{-2t}-\frac{1}{3}

Задача Коши:

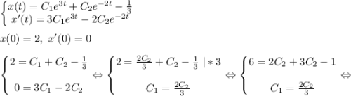
\left\{\begin{matrix}x(t)=C_1e^{3t}+C_2e^{-2t}-\frac{1}{3} \\ x'(t) =3C_1e^{3t}- 2C_2e^{-2t} \end{matrix}\right. \\ \\ x(0)=2, \ x'(0)=0 \\ \\ \left\{\begin{matrix} 2=C_1+C_2-\frac{1}{3} \\ \\ 0 =3C_1- 2C_2\end{matrix}\right. \Leftrightarrow \left\{\begin{matrix} 2=\frac{2C_2}{3} +C_2-\frac{1}{3} \ |*3 \\ \\ C_1= \frac{2C_2}{3} \end{matrix}\right. \Leftrightarrow \left\{\begin{matrix} 6=2C_2+3C_2-1 \\ \\ C_1= \frac{2C_2}{3}\end{matrix}\right. \Leftrightarrow

\Leftrightarrow \left\{\begin{matrix} 5C_2=7 \\ \\ C_1= \frac{2C_2}{3}\end{matrix}\right. \Leftrightarrow \left\{\begin{matrix} C_2=\frac{7}{5} \\ \\ C_1= \frac{2*\frac{7}{5} }{3}=\frac{14}{15} \end{matrix}\right.

Частное решение неоднородного ДУ:

x(t)=\frac{14}{15}e^{3t}+\frac{7}{5}e^{-2t}-\frac{1}{3}

4,6(4 оценок)
Открыть все ответы
Ответ:
А1.Найдите верное равенство 
 3) 8 дм кубических =8000 см  кубических 

А2. Выразите в квадратных метров 
1) 24 а = 2400 м Квадратных

А3. Комната имеет форму прямоугольного параллепипеда размеры которого указаны на рисунке . Найдите площадь стен комнаты . Высота 3 м , Длинна 7 м ,А ширина 2 м.
(7+2)*3*2=54(куб.м)
4) 54 м кубических

Найдите площадь полной поверхности прямоугольного параллелепипеда , в основании которого лежит квадрат со стороной 3 см , а высота 4 см .
1)66см²
3*3*2+3*4*4=66(см²)    

В2 Найдите  сторону квадрата , если его площадь 64 см квадратных
Sквадр=а²
S=64
a=√64
a=8(cм²) - сторона квадрата
4,6(51 оценок)
Ответ:
Mironshiha
Mironshiha
31.05.2023
1                          15       105 2                           30       90 3                           45       75 4                           60       60 5                            75       45 6                           90       30 7                           105     15 8                           120     0
4,7(24 оценок)
Это интересно:
Новые ответы от MOGZ: Математика
logo
Вход Регистрация
Что ты хочешь узнать?
Спроси Mozg
Открыть лучший ответ