М
Молодежь
К
Компьютеры-и-электроника
Д
Дом-и-сад
С
Стиль-и-уход-за-собой
П
Праздники-и-традиции
Т
Транспорт
П
Путешествия
С
Семейная-жизнь
Ф
Философия-и-религия
Б
Без категории
М
Мир-работы
Х
Хобби-и-рукоделие
И
Искусство-и-развлечения
В
Взаимоотношения
З
Здоровье
К
Кулинария-и-гостеприимство
Ф
Финансы-и-бизнес
П
Питомцы-и-животные
О
Образование
О
Образование-и-коммуникации

Упростить ( 1:x^2+2xy+y^2) : ( 1-x:x+y). ХЕЛП МИ

👇
Ответ:
ДашаЛис56
ДашаЛис56
24.12.2022

Пошаговое объяснение:

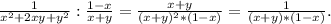
\frac{1}{x^2+2xy+y^2} :\frac{1-x}{x+y}=\frac{x+y}{(x+y)^2*(1-x)}=\frac{1}{(x+y)*(1-x)} .

4,5(14 оценок)
Открыть все ответы
Ответ:
Злата1616
Злата1616
24.12.2022
Пускай х - вес пса Шарика. Поскольку кот Вася на 6 кг легче, чем пес Шарик, то кот Вася весит: х - 6 кг. Поскольку масса кота Васи в трое меньше массы Шарика, то масса кота Васи равна х/3. Составим уравнение: х - 6 = х/3. Умножим левую и правую части уравнения на число три и получим: 3*(х - 6) = 3*х/3, 3х - 18 = х. Для подальшего решения уравнения перенесем все известные члены уравнения в левую часть, а все неизвестные члены в правую часть уравнения: 3х - х = 18, 2х = 18, х =18:2, х =9 кг вес пса Шарика. Кот Вася весит 9 - 6 = 3 кг.
4,6(72 оценок)
Ответ:
rebecca332
rebecca332
24.12.2022
Ткъоалаг1а б1аь шу долалуча хана малхбузехьарча дукъа т1а хьалде доладелар болхлой ц1енош, каст-каста ураг1ъухар мехкдаьтта вышкаш. Иштта д1адоладелар цу къонача города истори. Хьаьнала къахьегаш, шоай дезал кхебеш керда г1ишлош хьалъеш боахкача цун бахархошта в1алла дага а дацар еррига Европа б1ехъеш ший к1оага чура аратекха Гитлера б1ехал шоай къонача г1ала т1акхоачаргба, аьнна.
1941 шера Сийлахь – боккха Даьй -Мехка т1ом болабелча ца1 санна массаболча г1алг1ай поэташи йоазонхоши дакъалоац моастаг1ашца вахар – валар къувсаш вай къамо лоаттабаьча къовсамца.
Х1ара денна радиос а газеташа а хоамаш дора, Советский Эскаро фашисташта духьал деча халача т1емах. 
Т1ом болабеннача хьалхарча деношка денз, цхьаненна т1ехь шоллаг1вар водаш, т1ем т1а болх г1алг1ай йоазонхой. Къовсам лоаттабеча халкъа муг1арашка отт уж топа гебаг1аца даь ца 1еш, художественни дешаца Даьхенна г1о де, моастаг1а юхатоха. 
1942 шера 7 ноябре «Грозненский рабочий» яхача газета т1а кепатеха арадаьлар вай мохк д1алаца а, беррига советски нах лоал оттабе а лаьрх1а т1авена бирса моастаг1 ма хулла сихаг1а вохавара шоай беррига низи хьинари д1але яхаш ший беррига мехкахой т1абехаш Зязиков Бахьаудина яздаь хинна каьхат. Цу т1а яздаьдар: 
«Хьамсара мехкахой! Вай хьамсарча Кавказа а, цунца цхьана вай Шолжа – г1алийна а 1от1аезъеннай ц1имхара, 1аьржа морхаш. Немецко - фашистски г1аьхарой шоай ц1еша диза кулг т1ада герт нохчийи г1алг1айи мехка а... 
Са доттаг1ий! Даьхенна юха а боккха кхерам т1абенача хана, моастаг1чунца т1ом беш вала веза ха т1аэттача хана, шийца валар, моцал, лоал, къел т1аяхьаш, ц1ийх 1абаргадоаца аькха вай хьамсарча, бочача кхуврча т1адийрзача хана со веррига а шуца ва. 
Т1еххьара ц1ий т1адам 1абахийталца, котало яккхалца моастаг1чунца т1ом беш а ва со. Амма со т1ема кхыча участке ва. Х1аьта а сона хов тхоай фронте оаха моастаг1чоа теха х1ама, вийна фашист фронта шун участкерча мостаг1чун а иззал низ эшаболийташ хургдолга. Оаха гитлеровцаш дукхаг1а х1алак мел бу, боа мел бу, шоана а аттаг1а хургья къулбехье! 
Шоай даьйи ноанойи сий долча т1ема традицешта тешаме хилалаш! Вай сийлахьча мехка гражданина ц1ера сий дожа ма делаш! 
Оаха, т1емахоша, кхы а чоаг1аг1а моастаг1чоа доаг1аш дола та1азар дара, кхы а чоаг1аг1а цунца гоамал лацара т1ахьех шо. Ши кулг в1ашка ца дуллаш къовсам лоаттабеш а, къахьегаш а хилалаш! Моастаг1чунгара сихаг1а котало яккха, вай сий долча Ц1еча Эскара г1о дергда оаш цунца. 
Воаккхаг1вола политрук Б.Зязиков»
Цу юкъа ца хаддаш араювл «Сердало» газета т1а вай йоазонхоша моастаг1чоа духьал язъяь стихаши, очеркаши, дувцараши. 
Боккха бар хьа лоарх1ам 
Даьхен т1ом латтача хана
Даьхе лораерий дегаш
1а курадоахар. 
Котало 1алашъе,
Фашистий уж синош даха
Хьай кхайкамца г1алг1ай 
К1антий 1а оарцаг1абоахар…
М. Льянов «Сердало» 
4,8(96 оценок)
Новые ответы от MOGZ: Математика
logo
Вход Регистрация
Что ты хочешь узнать?
Спроси Mozg
Открыть лучший ответ