у-х=-3
Пошаговое объяснение:
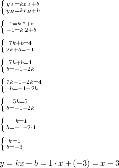
Решение на фото...
Пошаговое объяснение:
очка вне плоскости А. Отрезки от неё АВ = 10 и АС =17. Перпендикуляр из точки А на плоскость обозначим как AD. Проекции отрезков, которые надо найти BD и CD
По теореме Пифагора AB^2 = BD^2 + AD^2 и AС^2 = СD^2 + AD^2. От AD можно избавиться. И значения АВ и АС подставить. 100 = BD^2 + 289 - CD^2. Или CD^2 - BD^2 =189. Слева разность квадратов. Причём известна разность проекций. Можем получить СD+BD = 21. Сумму знаем, разность знаем. Решая систему получим CD = 15, BD =6
1) Точка вне плоскости А. Проекции от отрезков ВD = 12 и СD =40. Перпендикуляр из точки А на плоскость обозначим как AD. Сами отрезки, которые надо найти АB и АC
По теореме Пифагора AB^2 = BD^2 + AD^2 и AС^2 = СD^2 + AD^2.
От AD можно избавиться. И значения ВD и СD подставить. AB^2 =144 + AС^2 - 1600. Всё решается точно так же, как в предыдущей задаче. AB^2 - AС^2 = 1456 -> AB + AС = 56 -> АВ =41; АС = 15
2) Точка вне плоскости А. Проекции от отрезков ВD = 1 и СD =7. Перпендикуляр из точки А на плоскость обозначим как AD. Сами отрезки, которые надо найти АB и АC относятся. как 1 : 2
По теореме Пифагора AB^2 = BD^2 + AD^2 и AС^2 = СD^2 + AD^2.
От AD можно избавиться. И значения ВD и СD подставить. AB^2 =1 + AС^2 - 49
И ещё знаем, что 2АВ = АС, то есть 3 АВ^2 = 48 -> AB = 4, АС = 8
Пошаговое объяснение:
уравнение прямой:
Подставим координаты точек вместо х и у в уравнение прямой и определим коэффициенты k и b: