сегодня многие говорят о зависимости подростков от телефонов и прочих электронных устройств. но на самом деле никакой зависимости, за редким исключением, нет. есть привязанность. современный человек, не только подросток, привязан к огромному количеству различных вещей, таких как интернет, мобильная связь, электричество, даже, как бы странно это ни звучало, туалет в доме является в наше время нормой. мало кто готов отказаться от всех удобств. в какой-то мере это тоже является зависимостью. тем не менее, необходимо знать, когда телефон нужно отложить и заняться каким-либо делом. во всём нужно знать меру. подводя итог, можно сказать, что зависимость подростков от телефонов является не более чем мифом, сродни тому, как более маленьких детей пугают бабой-ягой и т.д. они из благих намерений, но все равно остаются лишь сказкой.
1)
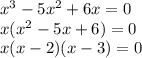
[ x = 0
[ x - 2 = 0 => x = 2
[ x - 3 = 0 => x = 3
ответ : 0 , 2 , 3
2)
[
[
[
------------------------
[
[
[
[
ответ : -√5 , 1 , √5 , 3