М
Молодежь
К
Компьютеры-и-электроника
Д
Дом-и-сад
С
Стиль-и-уход-за-собой
П
Праздники-и-традиции
Т
Транспорт
П
Путешествия
С
Семейная-жизнь
Ф
Философия-и-религия
Б
Без категории
М
Мир-работы
Х
Хобби-и-рукоделие
И
Искусство-и-развлечения
В
Взаимоотношения
З
Здоровье
К
Кулинария-и-гостеприимство
Ф
Финансы-и-бизнес
П
Питомцы-и-животные
О
Образование
О
Образование-и-коммуникации
saidislom01
saidislom01
23.04.2021 20:11 •  Математика

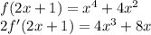
Пр36) Дана функция f(2x+1)= x^4+4x^2 . Найдите f'(3) .

👇
Ответ:
temaimcheg
temaimcheg
23.04.2021

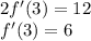
f(2x+1) = x^4+4x^2\\2f'(2x+1) = 4x^3 + 8x\\\\

Выберем x=1, тогда получим

2f'(3)=12\\f'(3) = 6

4,6(9 оценок)
Открыть все ответы
Ответ:
milana20101986
milana20101986
23.04.2021
Число делится на 8, если три последние цифры его нули или образуют число, делящееся на 8. В остальных случаях - не делится.
Значит нам не интересны первые 4 цифры номера Маши и Сережи, а именно там различия.
Поскольку 3 последние цифры будут совпадать, то остаток от деления на 8 будет одинаковым, а именно 3.

ответ 3


Если номер Маши представить в виде х - где х семизначное число, то поскольку номер Сережи отличается первой цифрой и она больше на 2, то номер Сережи можно представить как
х+2*10⁶=х+2000000
2 000 000:8= 250 000 т.е. делится на 8, а значит остаток от деления будет зависеть только от х, а он равен 3.

ответ 3
4,5(78 оценок)
Ответ:
ismail00
ismail00
23.04.2021
Задание № 1:
Если к двузначному числу приписать справа 2, то оно увеличится на 317. Назовите это двузначное число.
x - число
10х+2=х+317
9х=315
х=35
ответ: 35

Задание № 2:
Задумали число. Разделили его два раза на 2, отняли три раза по 3, прибавили пять раз по 5, получилось шесть раз по 6. Какое число задумали?
(х/2)/2-3*3+5*5=6*6
х/4-9+25=36
х/4=20
х=80
ответ: 80

Задание № 4:
В коробке 5 красных, 6 зелёных и 7 синих карандашей. В темноте из коробки берут карандаши. Какое наименьшее число карандашей надо взять, чтобы среди них обязательно был красный или зелёный карандаш?
в худшем случае сначала выйдут 7 синих и восьмой будет нужным
ответ: 8
4,5(66 оценок)
Это интересно:
Новые ответы от MOGZ: Математика
logo
Вход Регистрация
Что ты хочешь узнать?
Спроси Mozg
Открыть лучший ответ