М
Молодежь
К
Компьютеры-и-электроника
Д
Дом-и-сад
С
Стиль-и-уход-за-собой
П
Праздники-и-традиции
Т
Транспорт
П
Путешествия
С
Семейная-жизнь
Ф
Философия-и-религия
Б
Без категории
М
Мир-работы
Х
Хобби-и-рукоделие
И
Искусство-и-развлечения
В
Взаимоотношения
З
Здоровье
К
Кулинария-и-гостеприимство
Ф
Финансы-и-бизнес
П
Питомцы-и-животные
О
Образование
О
Образование-и-коммуникации
Mila19911
Mila19911
06.08.2021 10:52 •  Математика

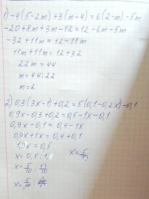
Первый пример: -4(5-2m)+3(m-4)=6(2-m)-5m Второй: 0,3(3x-1)+0,2=5(0,1-0,2x)-0,1

👇
Ответ:
боня51
боня51
06.08.2021

В прикреплённом файле


Первый пример: -4(5-2m)+3(m-4)=6(2-m)-5m Второй: 0,3(3x-1)+0,2=5(0,1-0,2x)-0,1
4,7(88 оценок)
Открыть все ответы
Ответ:

Так как между понедельником и четвергом 2 дня недели, а между четвергом и понедельником 3 дня недели, то в пределах одного месяца обязательно будет чётное число среди этих двух или трёх дней. Значит, наибольшее количество дней нужно искать при смене месяца.

Если понедельник - тридцатое число месяца, где есть ещё 31 день, то Антон будет читать, например :

29 августа    -  нечётное число

30 августа    -  понедельник

31 августа     -  нечётное число

1 сентября    -  нечётное число

2 сентября   -  четверг

3 сентября   -  нечётное число

ответ:  6 дней

4,7(19 оценок)
Ответ:
elvira2020
elvira2020
06.08.2021

У каждого мудреца по 46 монет

Пошаговое объяснение:

Исходное положение:1 мудрец — 1 монета; 2 мудрец — 2 монеты; ...; 10 мудрец — 10 монет.1). Очевидно, что в течение какого-то количества минут первый мудрец получит а монет, второй: а — 1 монету, третий: а — 2 монеты, ..., десятый получит а — 9 монет.Тогда у первого станет: а+1 монета, у второго: (а+2)-1 = а+1 монета, у третьего: (а+3)-2 = а+1 монета и т.д. до 10-го мудреца, у которого станет: (а+10)-9 = а+1. Таким образом, в сумме получим: 10*(а+1)Но, так как мудрецов 10, и, в итоге, у каждого одинаковое количество монет, то всю эту сумму можно представить, как 10b.Получили первое уравнение: , где а — количество минут, которое мудрецам выдавали по 9 монет, b — конечное равное количество монет у каждого мудреца.2). Известно, что в исходном положении мудрецам было выдано: 1+2+3+4+5+6+7+8+9+10 = 55 монет В течение некоторого количества минут а, они получили еще 9а монет, что составило в сумме: 55 + 9а монет. Так как окончательное количество монет должно быть кратно 10, то второе уравнение: Решая систему, получим: 10а + 10 = 55 + 9a 10a — 9a = 55 — 10 a = 45 (мин.) b = 46 (монет)ответ: да, смогут через 45 минут. У каждого мудреца на руках окажется по 46 монет.

4,8(1 оценок)
Новые ответы от MOGZ: Математика
logo
Вход Регистрация
Что ты хочешь узнать?
Спроси Mozg
Открыть лучший ответ