, при этом
Найдите 
составим и решим уравнение. Возьмем за х-расстояние в первый день, а за у расстояние во второй день, тогда получается система уравнений:
х+у=535
х-85=у
У нас у уже из второго уравнения выражен, поэтому можно просто подставить его в первое:
х+х-85=535
2х=535+85
2х=620
х=310 км - расстояние в первый день
х-85=у
310-85=225 км - расстояние во второй день
а в третий день можно рассичать так:
всего 750
750-535=215 км - расстояние в третий день
ответ: 310 км - расстояние в первый день
225 км - расстояние во второй день
215 км - расстояние в третий день
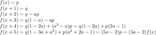
Заметим, что a - корень уравнения
Имеем
Рассмотрим последовательность
Это справедливо для любого x, в том числе для x=3. Следовательно
Наконец, отмечая что 2010 = 5*402, получим