М
Молодежь
К
Компьютеры-и-электроника
Д
Дом-и-сад
С
Стиль-и-уход-за-собой
П
Праздники-и-традиции
Т
Транспорт
П
Путешествия
С
Семейная-жизнь
Ф
Философия-и-религия
Б
Без категории
М
Мир-работы
Х
Хобби-и-рукоделие
И
Искусство-и-развлечения
В
Взаимоотношения
З
Здоровье
К
Кулинария-и-гостеприимство
Ф
Финансы-и-бизнес
П
Питомцы-и-животные
О
Образование
О
Образование-и-коммуникации
Frapado
Frapado
17.05.2021 20:26 •  Математика

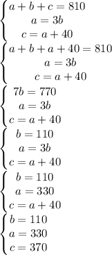
в трех контейнерах 810 г малины . Известно, что в первом контейнере ее в 3раза больше , чем во втором ,а в третьем - на 40 г больше, чем в первом . сколько граммов малины в каждом контейнере ??

👇
Ответ:
romaha1
romaha1
17.05.2021

110, 330, 370

Пошаговое объяснение:

Пусть в контейнерах a, b, c грамм малины, тогда

\left\{\begin{matrix}a+b+c=810\\ a=3b\\ c=a+40\end{matrix}\right.\\\left\{\begin{matrix}a+b+a+40=810\\ a=3b\\ c=a+40\end{matrix}\right.\\\left\{\begin{matrix}7b=770\\ a=3b\\ c=a+40\end{matrix}\right.\\\left\{\begin{matrix}b=110\\ a=3b\\ c=a+40\end{matrix}\right.\\\left\{\begin{matrix}b=110\\ a=330\\ c=a+40\end{matrix}\right.\\\left\{\begin{matrix}b=110\\ a=330\\ c=370\end{matrix}\right.

4,4(38 оценок)
Открыть все ответы
Ответ:
afspafa
afspafa
17.05.2021
Гражданская оборона (го) — это система мероприятий по подготовке к защите и по защите населения, материальных и культурных ценностей на территории российской федерации от опасностей, возникающих при ведении военных действий или вследствие этих действий, а также при возникновении чрезвычайных ситуаций природного и техногенного характера.с момента своего появления гражданская оборона всегда являлась составной частью системы общегосударственных оборонных мероприятий, проводимых в мирное и военное время для защиты населения и объектов страны от опасностей, возникающих при ведении военных действий или вследствие этих действий. своё предназначение гражданская оборона наиболее полно может осуществлять вместе с вооружёнными силами страны, обеспечивая максимальное ослабление вооружённого воздействия противника по объектам, , административным и другим центрам страны для сохранения устойчивости функционирования государства. в защиту населения от оружия массового поражения планировалось обеспечить заблаговременной подготовкой комплекса защитных сооружений, созданием запасов средств индивидуальной защиты, проведением эвакуации из крупных городов, оповещением об опасности нападения противника1.гражданская оборона в современных условиях является составной частью системы национальной безопасности и обороноспособности страны.в настоящее время характер и способы решения международных и других проблем с применением вооружённой борьбы, а также методы её ведения меняются. возможные войны будут проходить преимущественно в региональном масштабе и отличаться высокой интенсивностью, скоротечностью, избирательностью и степенью поражения высокоточными средствами. усиливаются угрозы возникновения чрезвычайных ситуаций природного и техногенного характера.в этих условиях в число основных в области гражданской обороны населения входят: борьба с , возникшими при ведении военных действий или вследствие этих действий; обнаружение и обозначение районов, подвергшихся радиоактивному, , биологическому и иному заражению; санитарная обработка населения, обеззараживание зданий и сооружений, специальная обработка техники и территорий; восстановление и поддержание порядка в районах, пострадавших при ведении военных действий или вследствие этих действий, а также вследствие чрезвычайных ситуаций природного и техногенного характера; восстановление функционирования необходимых коммунальных служб в военное время; разработка и осуществление мер, направленных на сохранение объектов, необходимых для устойчивого функционирования и выживания населения в военное время; обеспечение постоянной готовности сил и средств гражданской обороны.ведение гражданской обороны на территории российской федерации или в отдельных её местностях начинается с момента объявления состояния войны, фактического начала военных действий или введения президентом российской федерации военного положения на территории российской федерации или в отдельных её местностях.руководство гражданской обороной в российской федерации осуществляет правительство российской федерации.государственную политику в области гражданской обороны осуществляет федеральный орган исполнительной власти, президентом российской федерации на решение в области гражданской обороны.в целях реализации государственной политики в области гражданской обороны федеральный орган исполнительной власти, на решение в области гражданской обороны, осуществляет соответствующее нормативное регулирование, а также специальные, разрешительные, надзорные и контрольные функции в области гражданской обороны. 1  о гражданской обороне в см. раздел «дополнительные материалы».выводыгражданская оборона - составная часть системы национальной безопасности и обороноспособности страны.свои функции гражданская оборона российской федерации наиболее полно может осуществлять вместе с вооружёнными силами российской федерации.одна из существенных гражданской обороны - проведение аварийно-спасательных работ в случае возникновения опасностей для населения при ведении военных действий или вследствие этих действий, а также вследствие чрезвычайных ситуаций природного и техногенного характера.
4,5(27 оценок)
Ответ:
YUSUFOV
YUSUFOV
17.05.2021

Задание: Вырази:

в килограммах:

1 т=1000 кг

8 т = 8×1000 кг = 8000 кг

1 ц = 100 кг

5 ц 25 кг = 5×100 кг 25 кг = 500 кг + 25 кг = 525 кг

в метрах:

1 км = 1000 м

12 км = 12×1000=12000 км

4 км 70 м = 4×1000 м 70 м = 4000 м + 70 м = 4070 м

1 м = 100 см; 1 см = 0,01 м

300 см = 300×0,01 м = 3 м

в квадратных метрах:  

1 а = 100 м²

5 а = 5×100 м² = 500 м²

1 га = 10 000 м²

6 га = 6×10 000 м² = 60 000 м²

в квадратных миллиметрах:  

1 см²=100 мм²

7 см² = 7×100 мм² = 700 мм²

10 см² = 10×100 мм² = 1000 мм²

Пошаговое объяснение:

4,4(73 оценок)
Новые ответы от MOGZ: Математика
logo
Вход Регистрация
Что ты хочешь узнать?
Спроси Mozg
Открыть лучший ответ