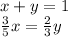
Составим систему :

____________

____________

Состоит в браке:

от всего населения планеты Нибиру.
Важную роль в общегосударственной системе противодействия терроризму играют антитеррористические комиссии (АТК) в субъектах Российской Федерации. На них возложены функции координации деятельности территориальных органов исполнительной власти и органов местного самоуправления по профилактике терроризма, а также по минимизации и ликвидации последствий его проявлений.
В настоящее время на фоне сохранения и укрепления силовой составляющей борьбы с конкретными террористическими проявлениями особую значимость приобретает проблема повышения эффективности противодействия идеологии терроризма. В связи с этим одним из главных приоритетов деятельности в АТК является практическая реализация на региональном уровне «Комплексного плана информационного противодействия терроризму в Российской Федерации на 2008 – 2012 годы». Это предполагает качественно более высокий уровень информационно-методического обеспечения деятельности АТК, усиление эффективности взаимодействия в этой сфере субъектов противодействия терроризму с институтами гражданского общества.
Настоящая брошюра предваряет серию материалов, подготовленных аппаратом НАК в АТК в субъектах Российской Федерации. Публикуемая в брошюре Концепция противодействия терроризму в Российской Федерации (далее – Концепция) разработана в рамках реализации федеральной целевой программой «Антитеррор (2005-2007 годы). Ее положения базируются на достигнутом уровне законодательного и нормативного правового регулирования правоотношений в сфере противодействия терроризму, расширяют и укрепляют основу для совершенствования антитеррористической деятельности федеральных органов исполнительной власти, органов исполнительной власти субъектов Российской Федерации и органов местного самоуправления, предусматривают участие в ней государственных и общественных институтов, не входящих в НАК.
В работе над Концепцией участвовали ученые научно-исследовательских и образовательных учреждений ФСБ России, специалисты-практики органов федеральной службы безопасности, сотрудники аппарата НАК, а также эксперты федеральных органов исполнительной власти, представленных в Комитете. Она рассмотрена и одобрена на 12 заседании НАК 12 февраля 2008 года.
Мониторинг реализации положений Федерального закона от 6 марта 2006 года № 35-ФЗ «О противодействии терроризму» (нормотворческий этап по состоянию на 1 октября 2008 года) содержит изложенный в табличной форме анализ правовых основ противодействия терроризму в нашей стране и нормотворческую деятельность по их совершенствованию после вступления в силу указанного закона.
ответ: 12/19 жителей планеты состоят в браке .
Пусть всего женщин на планете = х человек , а мужчин у человек.
Всего женщин и мужчин вместе будет (х+у) человек .
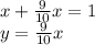
Замужних женщин
чел., а женатых мужчин
чел. Но их должно быть равное количество, поэтому
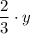
Чтобы найти, какая доля населения планеты состоит в браке, надо общее число людей, состоящих в браке, разделить на общее количество мужчин и женщин.