М
Молодежь
К
Компьютеры-и-электроника
Д
Дом-и-сад
С
Стиль-и-уход-за-собой
П
Праздники-и-традиции
Т
Транспорт
П
Путешествия
С
Семейная-жизнь
Ф
Философия-и-религия
Б
Без категории
М
Мир-работы
Х
Хобби-и-рукоделие
И
Искусство-и-развлечения
В
Взаимоотношения
З
Здоровье
К
Кулинария-и-гостеприимство
Ф
Финансы-и-бизнес
П
Питомцы-и-животные
О
Образование
О
Образование-и-коммуникации
fukurochanmiup04xjx
fukurochanmiup04xjx
27.11.2020 05:22 •  Математика

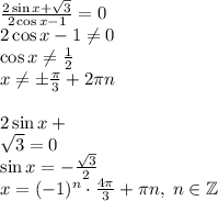
Завтра надо сдатьпример на фото​

👇
Ответ:
хавал
хавал
27.11.2020

\frac{2\sin x+\sqrt3}{2\cos x-1}=0\\2\cos x-1\neq0\\\cos x\neq\frac12\\x\neq\pm\frac\pi3+2\pi n\\\\2\sin x+\\\sqrt3=0\\\sin x=-\frac{\sqrt3}2\\x=(-1)^n\cdot\frac{4\pi}3+\pi n,\;n\in\mathbb{Z}

4,8(8 оценок)
Открыть все ответы
Ответ:
VADIMECHE
VADIMECHE
27.11.2020
дата рождения:11.07.1934возраст:79 летместо рождения:Италия, Пьяченцапол:мужскойпрофессия:дизайнерцвет глаз:голубыецвет волос:русыеБиография Джорджио АрманиДжорджио Армани фактически считается родоначальником сегодняшней итальянской моды. Несмотря на то, что он заявил о себе довольно поздно, Армани сумел добиться всемирного признания.Джорджио родился в городе Пьяченца. Там он учился в университете – мечтал стать врачом. Однако чуть позже университет он бросил и поехал в Милан – работать в магазине по пошиву штор.Армани никогда не хотел стать дизайнером, но его заметил Нино Черрути. В его модном доме Джорджио проработал почти 10 лет и только после этого решился начать собственное дело.Вместе с другом Серджио Галеотти он открыл компанию Giorgio Armani S.p.A. В 1975 Джорджио запустил мужскую и женскую линии одежды. Чуть позже к бизнесу брата присоединилась и сестра Джорджио Розанна Армани.Джорджио, как настоящий бизнесмен, всегда старался следить не только за творческими аспектами, но и за практическими – чуть ли не до бухгалтерии. Возможно, именно поэтому модный дом Giorgio Armani остается самостоятельным и благополучно развивается.Основная заслуга Армани в том, что он сделал минималистичный стиль актуальным. Отказ от рюшечек и бантиков в женской одежде действительно стал серьезным шагом в фэшн-индустрии. Плюс к этому, именно Армани впервые серьезно стал комбинировать фактуры (например, кожаные брюки и твидовый пиджак).Также Джорджио создал новый тип ароматов. Свежие нотки в парфюмах – это именно его заслуга.Армани изобрел бесформенный пиджак, находившийся на пике популярности в 1980-х и вернувшийся в моду сейчас.На Армани очень серьезно повлияла смерть его партнера Серджио Галеотти в 1985 году. Но он сумел справиться с потерей и продолжил развивать их компанию. Сейчас Giorgio Armani S.p.A. выпускает одежду, обувь, аксессуары, парфюм, косметику и даже мебель.За свои заслуги Армани удостоен множества наград – например, Gran Cavaliere della Repubblica, Commendatore dell’Ordine al Merito della Repubblica (это высшая правительственная награда в Италии).Армани – один из модных гениев эпохи. Его наряды носят Софи Лорен, Джулия Робертс и многие другие знаменитости, а некторые из них и работают на Armani - например, Виктория и Дэвид Бекхэмы.
4,8(93 оценок)
Ответ:
samyi116umni
samyi116umni
27.11.2020
Зайцев Вячеслав Михайлович
Родился 2 марта 1938 года в Иваново. Отец — Михаил Яковлевич Зайцев, мать — Мария Ивановна Зайцева. В 1945 году Вячеслав поступил в Ивановскую среднюю школу № 22, а в 1952 году начал учёбу в Ивановском химико-технологическом техникуме, который окончил в 1956 году по специальности художника текстильного рисунка. В 1962 году, окончив с отличием Московский текстильный институт, Вячеслав Михайлович был распределен на Экспериментально-техническую швейную фабрику Мособлсовнархоза в г. Бабушкине и назначен её художественным руководителем. В самом начале деятельности В. М. Зайцев создал коллекцию спецодежды для женщин-работниц области и села, которая была отвергнута методическим советом. В 1988 г. В. М. Зайцев выполнил костюмы для солистов одного из бродвейских театров, поставившего мюзикл на музыку Дюка Эллингтона «Софистикейтед лейдиз». Как художник костюмов В. М. Зайцев принимал участие в постановке фильмов на студиях «Мосфильм» и им. Горького: «Фокусник», «Держись за облака», «Здравствуй, цирк», «Безымянная звезда». Продолжительное время В. М. Зайцев работает над созданием костюмов для звезд эстрады и чемпионов фигурного катания, «одевает» членов советской спортивной делегации на Олимпидае-80 и создает новую униформу для советской милиции.В. М. Зайцев необычайно популярен: его имя без малого сорок лет связано с модой. В мировом искусстве моды он занимает свое собственное место художника и творческой личности. Все эти годы ему по праву принадлежит первенство в отечественной моде — не только как одному из первопроходцев этой области, не имевшей в отличие от Запада своей индустрии, и долго не воспринимавшей самого понятия «дизайн моды», но главным образом, по мощи таланта и весомости творческого вклада. В. М. Зайцев одновременно практик и теоретик.Его авторству принадлежат две книги — бестселлеры 1980-х гг.: «Такая изменчивая мода» (изд. «Молодая Гвардия») и «Этот многоликий мир моды» (изд. «Советская Россия») — обе вышли в 1980 году и в 1983 году были переизданы в Болгарии и Чехословакии.В 1992 г. издательство Агентства печати «Новости» выпустило на английском языке книгу о жизни и творчестве В. М. Зайцева «Ностальгия по красоте» (автор Л. Яралова).В марте 2006 г. издательство «Искусство XXI век» выпустило книгу-альбом «Слава Зайцев. Тайны Соблазна». В марте 2013 г. к 75-летию мэтра издательская группа Navona выпустила книгу Сергея Есина «Слава Зайцев: Мастер и вдохновение». В. М. Зайцев — Почетный гражданин Парижа и Почетный гражданин своего родного города Иванова.
4,4(61 оценок)
Это интересно:
Новые ответы от MOGZ: Математика
logo
Вход Регистрация
Что ты хочешь узнать?
Спроси Mozg
Открыть лучший ответ