М
Молодежь
К
Компьютеры-и-электроника
Д
Дом-и-сад
С
Стиль-и-уход-за-собой
П
Праздники-и-традиции
Т
Транспорт
П
Путешествия
С
Семейная-жизнь
Ф
Философия-и-религия
Б
Без категории
М
Мир-работы
Х
Хобби-и-рукоделие
И
Искусство-и-развлечения
В
Взаимоотношения
З
Здоровье
К
Кулинария-и-гостеприимство
Ф
Финансы-и-бизнес
П
Питомцы-и-животные
О
Образование
О
Образование-и-коммуникации
lemannv
lemannv
31.03.2020 00:41 •  Математика

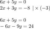
Решите систему сложения {6x+5y=0, {2x+3y=-8​

👇
Ответ:
LaMihaLa
LaMihaLa
31.03.2020

6x + 5y = 0 \\ 2x + 3y = - 8 \: \: | \times ( - 3) \\ \\ 6x + 5y = 0 \\ - 6x - 9y = 24

Складываем

5y - 9y = 24 \\ - 4y = 24 \\ y = 24 \div ( - 4) \\ y = - 6

2x + 3 y= - 8 \\ 2x + 3 \times ( - 6) = - 8 \\ 2x - 18 = - 8 \\ 2x = - 8 +1 8 \\ 2x = 10 \\ x = 10 \div 2 \\ x = 5

ответ: (5 ; -6)

4,6(59 оценок)
Ответ:
liliverbovetska
liliverbovetska
31.03.2020

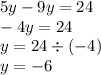
5 и - 6

Пошаговое объяснение:

Домножим второе уравнение на - 3,получается - 6х-9у=24 прибавим оба уравнения, получим - 4у=24,у=-6. 6х+5*(-6)=0, 6х=30, х=5

4,5(56 оценок)
Открыть все ответы
Ответ:
Matroyshka
Matroyshka
31.03.2020

9.

а)250 ,300, 350

Каждое следующее число ряда больше на 50.

350 + 50 = 400.

400 + 50 = 450.

450 + 50 = 500.

ответ: 400, 450, 500.

б)400, 425, 450

Каждое следующее число ряда больше на 25.

450 + 25 = 475.

475 + 25 = 500.

500 + 25 = 525.

ответ: 475, 500, 525.

в)20, 40, 80

Каждое последующее число ряда больше предыдущего в два раза.

80 * 2 = 160.

160 * 2 = 320.

320 * 3 = 640.

ответ: 160, 320, 640.

г)800, 400, 200

Каждое последующее число ряда меньше предыдущего в два раза.

200 / 2 = 100.

100 / 2 = 50.

50 / 2 = 25.

д) 910, 820, 730.

Каждое последующее число ряда меньше на 90.

730 – 90 = 640.

640 – 90 = 550.

550 – 90 = 460.

ответ: 640, 550, 460.

е) 884, 775, 666.

Каждое последующее число ряда меньше на 109.

666 – 109 = 557.

557 – 109 = 448

448 – 109 = 339.

ответ: 557, 448, 339

4,5(17 оценок)
Ответ:
anayaremenco
anayaremenco
31.03.2020

1) 34 729 = 3 * 10 000 + 4 * 1 000 + 7 * 100 + 2 * 10 + 9 * 1

2) 75 194 = 7 * 10 000 + 5 * 1 000 + 1 * 100 + 9 * 10 + 4 * 1

3) 478 254 = 4 * 100 000 + 7 * 10 000 + 8 * 1 000 + 2 * 100 + 5 * 10 + 4 * 1

4) 189 390 = 1 * 100 000 + 8 * 10 000 + 9 * 1 000 + 3 * 100 + 9 * 10 + 1 * 0

5) 23 487 901 = 2 * 10 000 000 + 3 * 1 000 000 + 4 * 100 000 + 8 * 10 000 + 7 * 1 000 + 9 * 100 + 0 * 10 + 1 * 1

6) 140 028 045 = 1 * 100 000 000 + 4 * 10 000 000 + 0 * 1 000 000 + 0 * 100 000 + 2 * 10 000 + 8 * 1 000 + 0 * 100 + 4 * 10 + 5 * 1

4,5(44 оценок)
Это интересно:
Новые ответы от MOGZ: Математика
logo
Вход Регистрация
Что ты хочешь узнать?
Спроси Mozg
Открыть лучший ответ