М
Молодежь
К
Компьютеры-и-электроника
Д
Дом-и-сад
С
Стиль-и-уход-за-собой
П
Праздники-и-традиции
Т
Транспорт
П
Путешествия
С
Семейная-жизнь
Ф
Философия-и-религия
Б
Без категории
М
Мир-работы
Х
Хобби-и-рукоделие
И
Искусство-и-развлечения
В
Взаимоотношения
З
Здоровье
К
Кулинария-и-гостеприимство
Ф
Финансы-и-бизнес
П
Питомцы-и-животные
О
Образование
О
Образование-и-коммуникации
c1Darkness1c
c1Darkness1c
15.02.2022 08:43 •  Математика

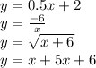
построить график функций y = 0.5x + 2 \\ y = \frac{ - 6}{x} \\ y = \sqrt{x + 6} \\ y = x + 5x + 6
очень

👇
Ответ:
DrZIP1st
DrZIP1st
15.02.2022

Пошаговое объяснение:

просто на будущее советую скачать photomath там эти графики автоматически строятся


построить график функций очень ​
построить график функций очень ​
построить график функций очень ​
построить график функций очень ​
4,7(29 оценок)
Открыть все ответы
Ответ:
Kira1626
Kira1626
15.02.2022
Дано: v=6 километров/час, известно, что скорость перехода в 4 раза меньше от скорости велосипедиста, то есть v = 6/4. По условию расстояние между ними через 4 часа, то есть расстояние S1(велосипедиста) - S2(пешехода). Решение:
1) 16 : 4 = 4 (км/ч) - скорость пешехода;
2) v1 (Велосип.) * t1 = 16 * 4 = 64 (км) - проедет велосипедист за 4 часа;
3) v2 (Пешехд) * t2 4 * 4 = 16 (км) - пройдет пешеход за 4 часа;
4) 64 - 16 = 48 (км) - будет между ними через 4 часа;
ответ: 48 километров пути будет между ними через 4 часа.
4,6(14 оценок)
Ответ:
DashaKim117
DashaKim117
15.02.2022
Ich
ich Liebe das Meer, deshalb gefällt mir die Kreativität der Künstler-Marinemaler. Aber mehr als alle Gemälde von Iwan Konstantinowitsch Aiwasowski.
Aiwasowski, stammt aus Feodossija, mit der kindheit war verliebt in das Meer. Er wusste das Meer ruhig und tobt Emotionen. Die Bilder von "der Sturm in der Nacht", "der Neunte Welle", "Mondnacht" nehmen die Ehrenplätze. Besonders beeindruckt Bild "Regenbogen". Es zeigt das Leben und den Tod. 
Ich Liebe die Kreativität von Aiwasowski, weil er überträgt alle Ihre Emotionen auf die Leinwand
4,5(53 оценок)
Новые ответы от MOGZ: Математика
logo
Вход Регистрация
Что ты хочешь узнать?
Спроси Mozg
Открыть лучший ответ