М
Молодежь
К
Компьютеры-и-электроника
Д
Дом-и-сад
С
Стиль-и-уход-за-собой
П
Праздники-и-традиции
Т
Транспорт
П
Путешествия
С
Семейная-жизнь
Ф
Философия-и-религия
Б
Без категории
М
Мир-работы
Х
Хобби-и-рукоделие
И
Искусство-и-развлечения
В
Взаимоотношения
З
Здоровье
К
Кулинария-и-гостеприимство
Ф
Финансы-и-бизнес
П
Питомцы-и-животные
О
Образование
О
Образование-и-коммуникации
tupoeMango
tupoeMango
03.01.2022 16:29 •  Математика

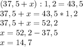
2) (37,5 + x): 1,2 = 43,5.​

👇
Ответ:
asyunyasavints
asyunyasavints
03.01.2022

x=14,7

Пошаговое объяснение:

(37,5+x):1,2=43,5\\37,5+x=43,5*1,2\\37,5+x=52,2\\x=52,2-37,5\\x=14,7

4,6(64 оценок)
Ответ:
пушокс
пушокс
03.01.2022

х = 14,7

Пошаговое объяснение:

( 37,5 + х ) / 1,2 = 43,5

37,5 + х = 43,5 * 1,2                  

37,5 + х = 52,2

х= 52,2 - 37,5

х= 14,7

проверка

( 37,5 +14,7 ) / 1,2 = 43,5

43,5 = 43,5

4,6(73 оценок)
Открыть все ответы
Ответ:
VladimirLK
VladimirLK
03.01.2022

750л помещается в бак.

Пошаговое объяснение:

450 литров - на данный момент столько воды в баке.

Если добавить две третьих от этой части воды (то есть от 450л), то бак наполнится. Соответственно, нам нужно найти две третьих от этого числа и прибавить к нему, чтобы узнать, сколько воды вмещает бак.

Две третьих - это всё равно, что мы делим 450л на равные 3 части и берём из них только две.

450/3=150л - одна часть от трёх

150*2=300л - две части от трёх, то есть 2/3

По условию если в бак долить 2/3, то он наполнится. Т.к. изначально у нас было 450л, значит:

450+300=750л

4,4(77 оценок)
Ответ:
kridnyuta
kridnyuta
03.01.2022

Решите уравнение 9x-7=6x+14Решите уравнение 9x-7=6x+14Решите уравнение 9x-7=6x+14Решите уравнение 9x-7=6x+14Решите уравнение 9x-7=6x+14Решите уравнение 9x-7=6x+14Решите уравнение 9x-7=6x+14Решите уравнение 9x-7=6x+14Решите уравнение 9x-7=6x+14Решите уравнение 9x-7=6x+14Решите уравнение 9x-7=6x+14Решите уравнение 9x-7=6x+14Решите уравнение 9x-7=6x+14Решите уравнение 9x-7=6x+14Решите уравнение 9x-7=6x+14Решите уравнение 9x-7=6x+14Решите уравнение 9x-7=6x+14Решите уравнение 9x-7=6x+14Решите уравнение 9x-7=6x+14Решите уравнение 9x-7=6x+14Решите уравнение 9x-7=6x+14Решите уравнение 9x-7=6x+14Решите уравнение 9x-7=6x+14Решите уравнение 9x-7=6x+14Решите уравнение 9x-7=6x+14Решите уравнение 9x-7=6x+14Решите уравнение 9x-7=6x+14Решите уравнение 9x-7=6x+14Решите уравнение 9x-7=6x+14Решите уравнение 9x-7=6x+14Решите уравнение 9x-7=6x+14Решите уравнение 9x-7=6x+14Решите уравнение 9x-7=6x+14Решите уравнение 9x-7=6x+14Решите уравнение 9x-7=6x+14Решите уравнение 9x-7=6x+14Решите уравнение 9x-7=6x+14Решите уравнение 9x-7=6x+14Решите уравнение 9x-7=6x+14Решите уравнение 9x-7=6x+14Решите уравнение 9x-7=6x+14Решите уравнение 9x-7=6x+14Решите уравнение 9x-7=6x+14Решите уравнение 9x-7=6x+14Решите уравнение 9x-7=6x+14Решите уравнение 9x-7=6x+14Решите уравнение 9x-7=6x+14Решите уравнение 9x-7=6x+14Решите уравнение 9x-7=6x+14Решите уравнение 9x-7=6x+14Решите уравнение 9x-7=6x+14Решите уравнение 9x-7=6x+14Решите уравнение 9x-7=6x+14Решите уравнение 9x-7=6x+14Решите уравнение 9x-7=6x+14Решите уравнение 9x-7=6x+14Решите уравнение 9x-7=6x+14Решите уравнение 9x-7=6x+14Решите уравнение 9x-7=6x+14Решите уравнение 9x-7=6x+14Решите уравнение 9x-7=6x+14Решите уравнение 9x-7=6x+14Решите уравнение 9x-7=6x+14Решите уравнение 9x-7=6x+14Решите уравнение 9x-7=6x+14Решите уравнение 9x-7=6x+14Решите уравнение 9x-7=6x+14Решите уравнение 9x-7=6x+14Решите уравнение 9x-7=6x+14Решите уравнение 9x-7=6x+14Решите уравнение 9x-7=6x+14Решите уравнение 9x-7=6x+14Решите уравнение 9x-7=6x+14Решите уравнение 9x-7=6x+14Решите уравнение 9x-7=6x+14Решите уравнение 9x-7=6x+14Решите уравнение 9x-7=6x+14Решите уравнение 9x-7=6x+14Решите уравнение 9x-7=6x+14Решите уравнение 9x-7=6x+14Решите уравнение 9x-7=6x+14Решите уравнение 9x-7=6x+14Решите уравнение 9x-7=6x+14Решите уравнение 9x-7=6x+14Решите уравнение 9x-7=6x+14

4,6(44 оценок)
Новые ответы от MOGZ: Математика
logo
Вход Регистрация
Что ты хочешь узнать?
Спроси Mozg
Открыть лучший ответ