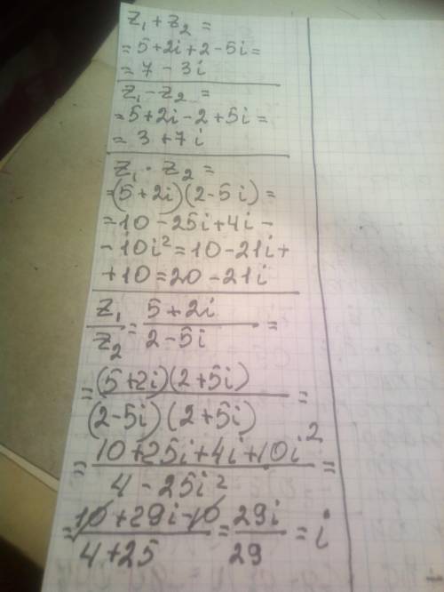
Пошаговое объяснение:
1)z₁+z₂=5+2i+2-5i=7-3i
2)z₁-z₂=5+2i-2+5i=3+7i
3)z₁*z₂=(5+2i)*(2-5i)=10+4i-25i-2i*5i=10-21i+10=20-21i
-2i*5i=-10*i²=10, т.к. i²=-1
4)
При делении умножаем и числитель и знаменатель на сопряжённое число.
роза королева в царстве растений( за красоту и запах)
у животных лев или медведь ( за силу)
Гриб боровик (за вкус)(
напишу речь от имени розы
Я роза и издавна меня считают королевой во всем царстве цветов. У меня самый притягивающий аромат, я красива и грациозна. У меня крепкий и прямой ствол, но потрогать меня нельзя,кругом охрана-шипы. Еще в древности меня считали цветком любви и наделяли магическими свойствами.
У меня давнишняя королевская история( имеется около 30000 видов розы).Столько видов нет ни у одного из моих поданных , такого запаха не сыскать во всем королевстве
решение смотри на фотографии
Пошаговое объяснение: