М
Молодежь
К
Компьютеры-и-электроника
Д
Дом-и-сад
С
Стиль-и-уход-за-собой
П
Праздники-и-традиции
Т
Транспорт
П
Путешествия
С
Семейная-жизнь
Ф
Философия-и-религия
Б
Без категории
М
Мир-работы
Х
Хобби-и-рукоделие
И
Искусство-и-развлечения
В
Взаимоотношения
З
Здоровье
К
Кулинария-и-гостеприимство
Ф
Финансы-и-бизнес
П
Питомцы-и-животные
О
Образование
О
Образование-и-коммуникации
tank243188
tank243188
19.09.2020 03:20 •  Математика

Памагите этот ответ правильно ​


Памагите этот ответ правильно ​

👇
Ответ:
katasmajl
katasmajl
19.09.2020

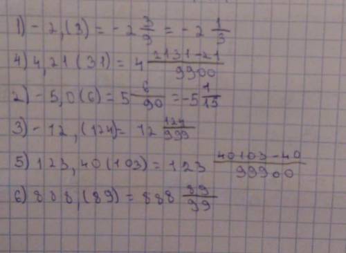
889 10/99 тикай из города

4,4(65 оценок)
Открыть все ответы
Ответ:
arinab01p0c2kd
arinab01p0c2kd
19.09.2020
Можно попытаться держать дома кипарисовик или кипарис, только, если есть возможность прохладной (до+10, но без мороза - в горшке и кипарисовик замёрзнет) зимовки для этих растений. Некоторое время на холодном окне могут жить туи, которые выросли дома из семян. Все остальные - растения открытого грунта! Араукария , также, как наши елки, любит полутень, влажную кислую почву и влажный воздух.
МожжевельникВсе исключительно засухоустойчивы, выделяют больше фитонцидов, чем любые другие хвойные. Для полноценного роста и развития им необходима посадка на хорошо дренированном солнечном или полутенистом участке со слабокислой рыхлой суглинистой почвой. Практически не выносят грунтовых и застойных вод. Золотистые формы ярче проявляют свою окраску именно на суглинке. Молодые сортовые растения переносят пересадку очень легко, в то время, как дикие (из леса) приживаются на новом месте крайне плохо. можжевельники легко переносят стрижку в любое время года. Можжевельник китайский Не подмерзает зимой и не подгорает от весеннего солнца, размножается черенками.  «Стрикта» – серо-голубой, пирамидальный, растёт медленно, в итоге вырастает до 5м. «Обелиск» – крупное растение с вертикальным ростом, имеющее форму обелиска, хвоя сизоватого оттенка. Можжевельник средний Гибрид между можжевельниками китайским и казацким. «Олд голд» - достаточно компактен, с распростёртой кроной, хвоя золотистая.
4,7(25 оценок)
Ответ:
Життя — найцінніший подарунок для людини. Як їм скориста­тися, вирішує кожний самостійно.Видатний англійський письменник Чарлз Діккенс присвятив своє життя літературі, залишивши вагомий внесок до її скарбниці. Він гідно скористався дарунком долі.Життєві негаразди й випробування із самого дитинства випали на долю Ч. Діккенса. Все це письменник відобразив у своїх творах. Але він з оптимізмом дивиться на людей. Так, у творі «Різдвяна пісня у прозі» описується духовне відродження людини, яка була егоїстичною й байдужою до інших. Бо Ч. Діккенс вірить у сильний дух людини. Таке відродження потрібне для щастя, для сенсу жит­тя. Головний герой оповідання — жадібний Скрудж, який жив зара­ди грошей. Зневажливо ставиться він до бідних, несучи душевний холод і егоїзм. Тільки завдяки втручанню духів, які у різдвяному сні показали Скруджу минуле, теперішнє й майбутнє, герой зля­кався жахливої смерті. Після цього егоїстична людина перетвори­лася на добру й щасливу.Віра, надія та любов —■ головні супутники людини в житті. По­чати жити заново ніколи не пізно.
4,6(89 оценок)
Это интересно:
Новые ответы от MOGZ: Математика
logo
Вход Регистрация
Что ты хочешь узнать?
Спроси Mozg
Открыть лучший ответ