
4/5
Пошаговое объяснение:
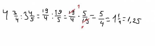
19/4*5/19=5/4
надо найти наибольший общий делитель для чисел (135;180;225)
чтобы разложить в одинаковые ящики надо найти надо найти наибольший общий делитель для чисел (135;180;225)
чтобы разложить в одинаковые ящики надо найти НОД(135;180;225).
Пошаговое объяснение:надо найти наибольший общий делитель для чисел (135;180;225)
Пошаговое объяснение:
разложение на множители и нахождение НОД записано внизу.Чтобы найтиНОД надо из разложения чисел выписать делители, которые встречаются в каждом разложении .НОД(135;180;225)=9 ,значит все фрукты можно разложить в ящики по 9 кг.
1,25
Пошаговое объяснение:
На скрине