
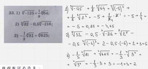
ответ:ну типо если учитывать что там всё в кубе то :
4 )7653
Пошаговое объяснение:
5 )-0.56732
создается мощное государство во главе с правителем, носившем титул «байгу» (искаженное «ябгу»), а в начале х в. принявшим титул «хакан». в конце ix в. в состав кимакского государства входило семь племенных групп: ишк, ланиказ, аджлад, эймур, баяндур, татар, кыпчак. в первой половине 11в. государство называлось дешт-и-кыпчак, ставка находилась в городе сыгнак. кыпчакское общество, сохраняя и воспроизводя многие институты патриархального уклада, вступило в этап утверждения и развития раннефеодальных отношений.
на примере древней греции отлично просматривается развития цивилизации – от уверенного и быстрого становления, сквозь успешность и стабильность к медленному упадку, завоеванию другим, более развитым и воинственным обществом. главные структурные элементы древнегреческого государства – полисы. мы довольно часто в быту, или общении используем понятия, крылатые фразы, имена, дошедшие и сохранившееся в практически неизменном виде ещё с того времени. греческая культура остается актуальной сквозь века, в чем мы убеждаемся ежедневно.среди населения высоко ценились как комедии, так и трагедии, спортивные соревнования и простое общение. целью жизни жителей того времени было постоянное совершенствование души и тела . все это и сегодня высоко цениться, в чем мы можем убедиться, посетив музей.
ответы в решении
Пошаговое объяснение: