М
Молодежь
К
Компьютеры-и-электроника
Д
Дом-и-сад
С
Стиль-и-уход-за-собой
П
Праздники-и-традиции
Т
Транспорт
П
Путешествия
С
Семейная-жизнь
Ф
Философия-и-религия
Б
Без категории
М
Мир-работы
Х
Хобби-и-рукоделие
И
Искусство-и-развлечения
В
Взаимоотношения
З
Здоровье
К
Кулинария-и-гостеприимство
Ф
Финансы-и-бизнес
П
Питомцы-и-животные
О
Образование
О
Образование-и-коммуникации
Almurt
Almurt
20.11.2022 21:39 •  Математика

Постойте взаимно однозначное отображение отрезка [0;1] на полуинтервал [0;1). С объяснением

👇
Ответ:
ShahTV
ShahTV
20.11.2022

Обозначим A=\{x|x=\dfrac{1}{n+1}, n\in N\}=\{\dfrac{1}{2},\dfrac{1}{3},...\} - очевидно, счетное множество. Заметим, что A\subset [0;1],A\subset [0;1), при этом [0;1]\backslash (A\cup \{1\})=[0;1)\backslash A. Тогда элементы множества [0;1)\backslash A можно отразить на самих себя, и при этом построить  взаимно однозначное отображение счетного множества  A\cup\{1\} на А

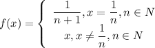
Построим отображение f:[0;1]\to[0;1)

f(x)=\left\{\begin{array}{c}\dfrac{1}{n+1}, x=\dfrac{1}{n}, n\in N\\x,x\neq\dfrac{1}{n}, n\in N\end{array}\right.

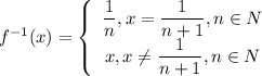
При этом, очевидно, разные элементы [0;1] переходят в разные элементы [0;1), и при этом, очевидно, для каждого элемента [0;1) существует прообраз в [0;1], т.е. существует и обратное отображение f^{-1}:[0;1)\to[0;1]

f^{-1}(x)=\left\{\begin{array}{c}\dfrac{1}{n}, x=\dfrac{1}{n+1}, n\in N\\x,x\neq\dfrac{1}{n+1}, n\in N\end{array}\right.  

А значит f - искомая биекция

4,5(39 оценок)
Открыть все ответы
Ответ:
ЯнаШемен
ЯнаШемен
20.11.2022

книжное учение набирало силу в некоторых кругах городского населения, а также среди княжеских и боярских ремесленников;

открывались школы, как для мальчиков, так и для девочек интерес к книгам не ограничивался княжескими дворцами. посмотрите, как выглядели первые книги («остромирово евангелие») основой любой древней культуры является письменность. долгое время существовало мнение, что письмо на русь пришло вместе с христианством. однако согласиться с этим трудно. данные находки нас в том, что письменность существовала у славян еще до принятия христианства, но основную массу населения составляли «невегласы», не умевшие даже читать, но неграмотность не была поголовной. однако распространению письменности действительно способствовало принятие русью христианства. и вот как только русь приняла христианство, так сразу же появляются первые ученые и люди.
4,6(8 оценок)
Ответ:
RRRR2221111
RRRR2221111
20.11.2022
Решение пусть в основании равнобедренная трапеция авсд, где основания ад и вс, причём ав=вс=сд=4 и угол вад =углу адс =60. найдём площадь этой трапеции из точек в и с проведём высоты в трапеции вк и см. из тр-ка авк находим вк = 4*sin60 =2√3 это высота трапеции ак = 4*cos60 = 2 тогда и мк=2 и ад =4+2+2 =8 площадь трапеции равнв = (8+4)*2√3 /2 =12√3 из тр-ка вкд по теореме пифагора найдём диагональ трапеции вд² =вк² +кд² = (2√3)² +6² =48 тогда вд = √48 = 4√3 из тр-ка вдд1 где вд =4√3 и угол двд1 =30 находим дд1= вд*tg30 =4√3* 1/√3 =4 тогда объём равен = 12√3*4 =48√3
4,6(81 оценок)
Новые ответы от MOGZ: Математика
logo
Вход Регистрация
Что ты хочешь узнать?
Спроси Mozg
Открыть лучший ответ