
25% = 25/100 = 1/4 - сократили на 25
Пусть х сотрудников работают в первом супермаркете, тогда (1/4)х - во втором и 5/7 · (1/4)х = (5/28)х - в третьем. Всего в трёх супермаркетах работают 560 человек. Уравнение:
х + (1/4)х + (5/28)х = 560
х + (7/28)х + (5/28)х = 560
х + (12/28)х = 560
х + (3/7)х = 560
(10/7)х = 560
х = 560 : 10/7
х = 560 : 10 · 7
х = 392 (чел.) - в первом супермаркете
1/4 · 392 = 392 : 4 = 98 (чел.) - во втором супермаркете
5/7 · 98 = 98 : 7 · 5 = 70 (чел.) - в третьем супермаркете
ответ: 392, 98 и 70 соответственно.
ответ :7
Пошаговое объяснение:
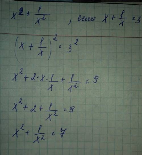
Возведем в квадрат обе части второго выражения, а дальше все на картинке