М
Молодежь
К
Компьютеры-и-электроника
Д
Дом-и-сад
С
Стиль-и-уход-за-собой
П
Праздники-и-традиции
Т
Транспорт
П
Путешествия
С
Семейная-жизнь
Ф
Философия-и-религия
Б
Без категории
М
Мир-работы
Х
Хобби-и-рукоделие
И
Искусство-и-развлечения
В
Взаимоотношения
З
Здоровье
К
Кулинария-и-гостеприимство
Ф
Финансы-и-бизнес
П
Питомцы-и-животные
О
Образование
О
Образование-и-коммуникации
Казань565
Казань565
11.12.2021 10:24 •  Математика

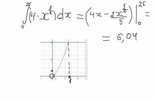
Вычислить площадь фигуры, ограниченной линиями: y^2=x^3,x=0,y=4

👇
Ответ:
malina804
malina804
11.12.2021

Пошаговое объяснение:


Вычислить площадь фигуры, ограниченной линиями: y^2=x^3,x=0,y=4
4,8(76 оценок)
Открыть все ответы
Ответ:
bolgarevaua
bolgarevaua
11.12.2021
Пешеход за 6 часов проходит такой же путь,какой велосипедист проезжает за2.5часа.Найди скорость пешехода,если она меньше скорости велосипедиста на 7 км.в час.6х = 2,5 (х+7)6х = 2,5х + 17,5х = 53,5х = 17,5Пусть х км/ч - скорость пешехода, тогда х + 7 км/ч - скорость велопипедиста, т.к. одинаковое расстояние они проходят за 6 ч и 2,5 ч соответственно, то можно записать уравнение:Пусть V велосипедиста=х км/ч, тогда V пешехода=х-7. Имеем уравнение: 6(х-7)=2,5х         6х-42-2,5х=0           3,5х=42             х=12 (км/ч)         12-7=5 (км/ч) ответ: 5 км/ч.ответ. 5 км/ч скорость пешехода. 6х - 2,5х = 17,5
4,4(45 оценок)
Ответ:
ilonka20048
ilonka20048
11.12.2021

1)7а=-41.6+3а 
7а-3а=-41.6 
4а=-41.6 
а=-41.6:4 
а=-10.4

2) х кроликов во второй клетке
4х кроликов в первой клетке
Уравнение
4х -24 =х+24
3х = 48
х= 16
ответ 64 в первой и 16 во второй

3)Пусть скорость пешехода х км\ч, тогда скорость велосипедиста х+7 км\ч. Зная что пешеход проходит свой путь за время t =6ч, велосипедист за 2,5 часа, а путь у них одинаковый, составим и решим уравнение. 
2,5(7+х)=6х 
17,5+2,5х=6х 
3,5х=17,5 
х=5 
То есть скорость пешехода равна 5 км\ч

4)Преобразуем правую часть IxI*I-2.6I=13IxI/5

7*13/2^2*5^2=13IxI/5

1корень=0,35

2 корень=-0,35

4,7(14 оценок)
Это интересно:
Новые ответы от MOGZ: Математика
logo
Вход Регистрация
Что ты хочешь узнать?
Спроси Mozg
Открыть лучший ответ