М
Молодежь
К
Компьютеры-и-электроника
Д
Дом-и-сад
С
Стиль-и-уход-за-собой
П
Праздники-и-традиции
Т
Транспорт
П
Путешествия
С
Семейная-жизнь
Ф
Философия-и-религия
Б
Без категории
М
Мир-работы
Х
Хобби-и-рукоделие
И
Искусство-и-развлечения
В
Взаимоотношения
З
Здоровье
К
Кулинария-и-гостеприимство
Ф
Финансы-и-бизнес
П
Питомцы-и-животные
О
Образование
О
Образование-и-коммуникации
4Миатрисс654
4Миатрисс654
16.12.2022 08:51 •  Математика

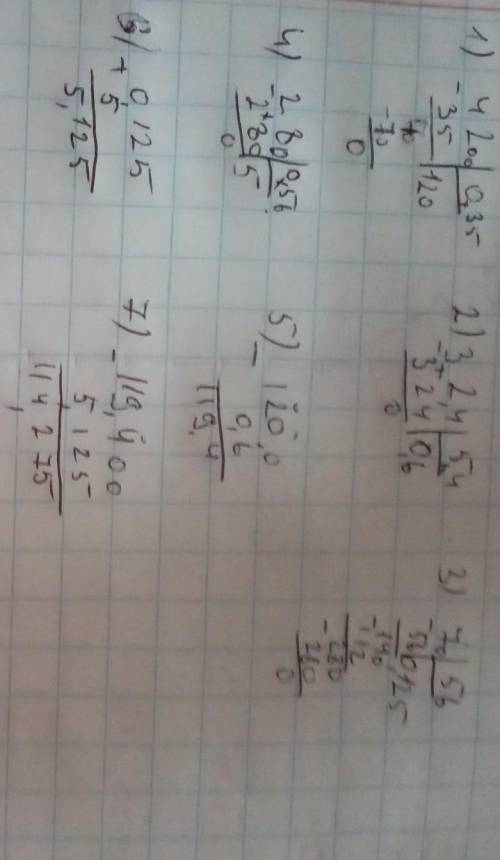
1) 42:0,35-3,24:5,4-7:56 + 2,8:0,56;
Решите в столбик

👇
Ответ:
g0886242
g0886242
16.12.2022

1)42:0,35=120

2)3,24:5,4=0,6

3)7:56=0,125

4)2,8:0,56=5

5)120-0,6=119,4

6)119,4-0,125=119,275

7)119,275+5=124,275

Пошаговое объяснение:

4,5(91 оценок)
Ответ:
annamacsimava08
annamacsimava08
16.12.2022

Ну вот как-то так получается, сори если не понятно


1) 42:0,35-3,24:5,4-7:56 + 2,8:0,56; Решите в столбик
4,7(32 оценок)
Открыть все ответы
Ответ:
braychenko1
braychenko1
16.12.2022

Егер ондық жүздік бөлшекті дөңгелектіегні келсе былай болады !

Ең соңғы сан 5 6 7 8 9 болса ол алдынғы тұрған санды бір санға үлкейтеді яғни бір саның екіге айналдыарады! Түсінікті болуы үшін,мысал келтірейін!

Мысалға:

0,44415 = 0,4442 көріп тұрғанындай 5 саны алддында тұрған 1ді екіге айналдырып жіберді!

Келесі мысал:

10,6788881114888888 = 10,6788881115

10,6788881114888888 = 10,678888111488889

10,6788881114888888 = 10,67888811148889

10,6788881114888888 = 10,6788881114889

10,6788881114888888 = 10,678888111489

10,6788881114888888 = 10,67888811149

Жауабым түсінікті болса, Рахметінді аяма)))

4,7(6 оценок)
Ответ:

Вися́чие сады́ Семирами́ды — одно из Семи чудес античного мира, которое представляло собой инженерное сооружение в Вавилоне с каскадом многоуровневых садов, где росли многочисленные породы деревьев, кустарников и виноградных лоз, производившее впечатление большой зелёной горы. Единственное из Семи чудес, местонахождение которого окончательно не установлено[1] и, более того, подвергается сомнению сам факт его существования[⇨], поскольку не сохранилось никаких вавилонских текстов, в которых упоминаются эти сады, описания садов имеются лишь у поздних древнегреческих и римских авторов[⇨], а археологические раскопки в районе предполагаемого местонахождения садов также не дали результато

Пошаговое объяснение:

4,4(23 оценок)
Это интересно:
Новые ответы от MOGZ: Математика
logo
Вход Регистрация
Что ты хочешь узнать?
Спроси Mozg
Открыть лучший ответ