М
Молодежь
К
Компьютеры-и-электроника
Д
Дом-и-сад
С
Стиль-и-уход-за-собой
П
Праздники-и-традиции
Т
Транспорт
П
Путешествия
С
Семейная-жизнь
Ф
Философия-и-религия
Б
Без категории
М
Мир-работы
Х
Хобби-и-рукоделие
И
Искусство-и-развлечения
В
Взаимоотношения
З
Здоровье
К
Кулинария-и-гостеприимство
Ф
Финансы-и-бизнес
П
Питомцы-и-животные
О
Образование
О
Образование-и-коммуникации
TearPrincess2
TearPrincess2
18.05.2021 02:38 •  Математика

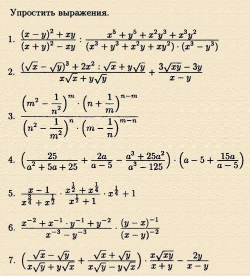
очень пункты: 2, 3, 4, 5, 6, 7
(Дмитрий Письменный "Готовимся к экзамену по математике")​


очень пункты: 2, 3, 4, 5, 6, 7(Дмитрий Письменный Готовимся к экзамену по математике)​

👇
Открыть все ответы
Ответ:
Снегопад Вчера вечером завывала метель, на улице было страшновато: того и гляди порывом вет­ра подхватит тебя и унесёт неведомо куда. Сегодня же с утра тихо идёт снег. Де­ревья стоят неподвижно, благодарно прини­мая на себя согревающий покров. Снежинки в изящном танце медленно кружатся в возду­хе, объединяются в хороводы, мягко опуска­ются на землю, дома, растения. Пушистое бе­лое покрывало одевает всё вокруг. А снег всё идёт и идёт. Теперь уже огром­ные хлопья летят с неба. Это сотни снежинок объединяются, прикрепляются друг к другу и быстрее, благодаря тяжести, приближаются к земле. Солнце добавляет блеска свежевыпав­шему снегу. Он переливается, сверкает, ис­крится. Перламутровые краски разлиты в при­роде.
4,4(95 оценок)
Ответ:
Hemmgirl
Hemmgirl
18.05.2021
НА РУССКОМ:
Март - это первый месяц весны. В марте есть праздник под названием "международный женский день". Март мой самый любимый месяц. Погода в марте в Барселоне преимущественно ясная, дождливых дней практически не наблюдается. Туманы в марте бывают довольно часто.
НА РУМЫНСКОМ:
Martie este prima lună a primăverii. În luna martie este o vacanta numit "Ziua internaţională a femeii". Martie, luna mea cea mai favorita. Vremea in martie in Barcelona clar cea mai mare parte, zilele ploioase, practic, nu exista. Ceaţă în martie sunt destul de des.
4,4(75 оценок)
Это интересно:
Новые ответы от MOGZ: Математика
logo
Вход Регистрация
Что ты хочешь узнать?
Спроси Mozg
Открыть лучший ответ