М
Молодежь
К
Компьютеры-и-электроника
Д
Дом-и-сад
С
Стиль-и-уход-за-собой
П
Праздники-и-традиции
Т
Транспорт
П
Путешествия
С
Семейная-жизнь
Ф
Философия-и-религия
Б
Без категории
М
Мир-работы
Х
Хобби-и-рукоделие
И
Искусство-и-развлечения
В
Взаимоотношения
З
Здоровье
К
Кулинария-и-гостеприимство
Ф
Финансы-и-бизнес
П
Питомцы-и-животные
О
Образование
О
Образование-и-коммуникации
lmarki2003
lmarki2003
01.02.2020 15:52 •  Математика

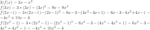
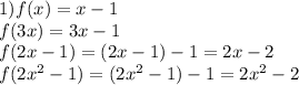
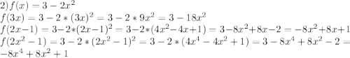
Составьте сложные функции f(3x), f(2x-1), f(2x^2-1), если: 1) f(x)=x-1; 2) f(x)=3-2x^2; 3) f(x)=3x-x^2


Составьте сложные функции f(3x), f(2x-1), f(2x^2-1), если: 1) f(x)=x-1; 2) f(x)=3-2x^2; 3) f(x)=3x-x

👇
Ответ:
BONDsCNOPCOI
BONDsCNOPCOI
01.02.2020

Пошаговое объяснение:

1)f(x)=x-1\\f(3x)=3x-1\\f(2x-1)=(2x-1)-1=2x-2\\f(2x^2-1)=(2x^2-1)-1=2x^2-2

2)f(x)=3-2x^2\\f(3x)=3-2*(3x)^2=3-2*9x^2=3-18x^2\\f(2x-1)=3-2*(2x-1)^2=3-2*(4x^2-4x+1)=3-8x^2+8x-2=-8x^2+8x+1\\f(2x^2-1)=3-2*(2x^2-1)^2=3-2*(4x^4-4x^2+1)=3-8x^4+8x^2-2=-8x^4+8x^2+1

3)f(x)=3x-x^2\\f(3x)=3*(3x)-(3x)^2=9x-9x^2\\f(2x-1)=3*(2x-1)-(2x-1)^2=6x-3-(4x^2-4x+1)=6x-3-4x^2+4x-1=-4x^2+10x-4\\f(2x^2-1)=3*(2x^2-1)-(2x^2-1)^2=6x^2-3-(4x^4-4x^2+1)=6x^2-3-4x^4+4x^2-1=-4x^4+10x^2-4

4,6(21 оценок)
Открыть все ответы
Ответ:
unicorn337228
unicorn337228
01.02.2020
Жил-был мальчик по имени петя 
Однажды Петя вышел погулять, на площадке сидела девочка, которая играла в песочнице. Петя недолго покачавшись на качели, решил поиграть вместе с девочкой. 
Девочка согласилась, дала ему лопатку, фигурки. Пете все не нравилось, все было не по его, и решил он сломать творения девочки, как топнул ногой, и вспоминай что там было. Девочка обиделась и убежала домой. Петя собрал все игрушки, отнес их к себе в дом, сел есть. Тут стук в дверь, открывает Петя дверь, а там девочка с мамой. Петя извинился за то что все разрушил, игрушки забрал и девочку обидел и они дружно пошли гулять на площадку.
4,7(4 оценок)
Ответ:
grusnikot
grusnikot
01.02.2020
Жил-был мальчик по имени петя 
Однажды Петя вышел погулять, на площадке сидела девочка, которая играла в песочнице. Петя недолго покачавшись на качели, решил поиграть вместе с девочкой. 
Девочка согласилась, дала ему лопатку, фигурки. Пете все не нравилось, все было не по его, и решил он сломать творения девочки, как топнул ногой, и вспоминай что там было. Девочка обиделась и убежала домой. Петя собрал все игрушки, отнес их к себе в дом, сел есть. Тут стук в дверь, открывает Петя дверь, а там девочка с мамой. Петя извинился за то что все разрушил, игрушки забрал и девочку обидел и они дружно пошли гулять на площадку.
4,5(58 оценок)
Это интересно:
Новые ответы от MOGZ: Математика
logo
Вход Регистрация
Что ты хочешь узнать?
Спроси Mozg
Открыть лучший ответ