М
Молодежь
К
Компьютеры-и-электроника
Д
Дом-и-сад
С
Стиль-и-уход-за-собой
П
Праздники-и-традиции
Т
Транспорт
П
Путешествия
С
Семейная-жизнь
Ф
Философия-и-религия
Б
Без категории
М
Мир-работы
Х
Хобби-и-рукоделие
И
Искусство-и-развлечения
В
Взаимоотношения
З
Здоровье
К
Кулинария-и-гостеприимство
Ф
Финансы-и-бизнес
П
Питомцы-и-животные
О
Образование
О
Образование-и-коммуникации
titomeister
titomeister
09.03.2021 04:58 •  Математика

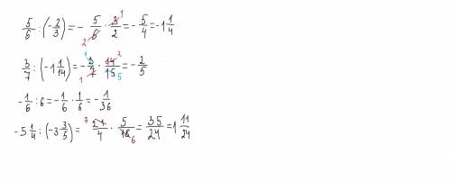
Весь 3 столбик плз только ответ нужен


Весь 3 столбик плз только ответ нужен

👇
Ответ:
хината19
хината19
09.03.2021

Пошаговое объяснение:

решение смотри внизу


Весь 3 столбик плз только ответ нужен
4,8(16 оценок)
Открыть все ответы
Ответ:
муслима18
муслима18
09.03.2021
IP-адрес состоит из двух частей: номера сети и номера узла. В случае изолированной сети её адрес может быть выбран администратором из специально зарезервированных для таких сетей блоков адресов (192.168.0.0/16, 172.16.0.0/12 или 10.0.0.0/8). Если же сеть должна работать как составная часть Интернета, то адрес сети выдаётся провайдером либо pегиональным интернет-регистратором (Regional Internet Registry, RIR).

IP-адрес представляет собой 32-битовое (по версии IPv4) или 128-битовое (по версии IPv6) двоичное число. Удобной формой записи IP-адреса (IPv4) является запись в виде четырёх десятичных чисел (от 0 до 255), разделённых точками, например, 192.168.0.1. (или 128.10.2.30 — традиционная десятичная форма представления адреса, а 10000000 00001010 00000010 00011110 — двоичная форма представления этого же адреса).
4,5(92 оценок)
Ответ:
nikskrypkin
nikskrypkin
09.03.2021
.
Пусть скорость велосипедиста х км/ч, тогда скорость мотоциклиста (х+35) км/ч. Чтооы найти время, нужно расстояние разделить на скорость. Время которое ехал велосипедист 30/х, время которое ехал мотоциклист 30/(х+35). Известно, что велосипедист был в пути на 1ч 24 мин (1,4 ч) больше. Составим уравнение.
30/х-30/(х+35)=1,4
(30(х+35)-30х) /(х (х+35))=7/5
(30х+1050-30х) /(х (х+35))=7/5
1050/(х (х+35))=7/5
1050*5=7х (х+35)
5250=7х^2+245x
7х^2+245х-5250=0
х^2+35х-750=0
D=35^2-4*1*(-750)= 1225+3000=4225
х1=(-35+65)/2=30/2=15
х2=(-35-65)/2= -100/2=-50 корень не удовлетворяет условию задачи.
ответ: 15 км/ч скорость велосипедиста.
4,8(60 оценок)
Это интересно:
Новые ответы от MOGZ: Математика
logo
Вход Регистрация
Что ты хочешь узнать?
Спроси Mozg
Открыть лучший ответ