Вход
Регистрация
Спроси Mozg AI
М
Молодежь
К
Компьютеры-и-электроника
Д
Дом-и-сад
С
Стиль-и-уход-за-собой
П
Праздники-и-традиции
Т
Транспорт
П
Путешествия
С
Семейная-жизнь
Ф
Философия-и-религия
Б
Без категории
М
Мир-работы
Х
Хобби-и-рукоделие
И
Искусство-и-развлечения
В
Взаимоотношения
З
Здоровье
К
Кулинария-и-гостеприимство
Ф
Финансы-и-бизнес
П
Питомцы-и-животные
О
Образование
О
Образование-и-коммуникации
.....больше.....
..меньше..
karinakrasyuk
11.11.2021 17:06 •
Математика
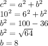
Найдите катет прямого треугольника, если второй катет равен 6, а гипотенуза равна 10
👇
Увидеть ответ
Ответ:
romanajmusin520
11.11.2021
8
Пошаговое объяснение:
4,6
(42 оценок)
Открыть все ответы
Ответ:
новиновичек
11.11.2021
2,22*х - 1,12*х = 3,3.1. а) 1) 3,636-2,356=1,28
2) 8,965+1,28=10,245
Б) 1) 3,534-2,341=1,193
2) 1,193+2,368=3,561
3) 4,561-3,561=1
2. а) 34,56*х + 12,11*х = 93,34
46,67х=93,34
х=93,34:46,67=2
б) 2,22*х - 1,12*х = 3,3.
1,1х=3,3
х=3,3:1,1=3
3. а)475,2340
475 - до единиц
475, 2 -до десятых
275, 23- до сотых
б) 0,4523
0-до ед
0,5- до дес
0,45-до сотых
в)34,0579
34-до ед
34,1-до дес
34,06-до сотых.
4. 1) 25.5+5.6=31.1 км/ч по течению
2) 25.5-5.6=19.9 км/ч против течения
2 вар.
1. а) 1) 2,487-1,346=1,141
2) 3,834+1,141=4,975
б) 1) 4,38-1,52=2,86
2) 2,86+37,386=40,246
3)40,246+28,93=69,176
2. а) 6,42х=12,84
х=12,84:6,42=2
б) 1,01х=3,03
х=3
4,8
(11 оценок)
Ответ:
caesarkung
11.11.2021
2,22*х - 1,12*х = 3,3.1. а) 1) 3,636-2,356=1,28
2) 8,965+1,28=10,245
Б) 1) 3,534-2,341=1,193
2) 1,193+2,368=3,561
3) 4,561-3,561=1
2. а) 34,56*х + 12,11*х = 93,34
46,67х=93,34
х=93,34:46,67=2
б) 2,22*х - 1,12*х = 3,3.
1,1х=3,3
х=3,3:1,1=3
3. а)475,2340
475 - до единиц
475, 2 -до десятых
275, 23- до сотых
б) 0,4523
0-до ед
0,5- до дес
0,45-до сотых
в)34,0579
34-до ед
34,1-до дес
34,06-до сотых.
4. 1) 25.5+5.6=31.1 км/ч по течению
2) 25.5-5.6=19.9 км/ч против течения
2 вар.
1. а) 1) 2,487-1,346=1,141
2) 3,834+1,141=4,975
б) 1) 4,38-1,52=2,86
2) 2,86+37,386=40,246
3)40,246+28,93=69,176
2. а) 6,42х=12,84
х=12,84:6,42=2
б) 1,01х=3,03
х=3
4,4
(22 оценок)
Это интересно:
П
Питомцы-и-животные
23.03.2021
Как правильно обращаться с агрессивной кошкой...
К
Кулинария-и-гостеприимство
17.06.2022
Как приготовить вкусный русский салат...
К
Кулинария-и-гостеприимство
27.09.2021
Как правильно и быстро подготовить корень имбиря к приготовлению...
С
Стиль-и-уход-за-собой
11.01.2020
Как избавиться от зудящего ожога (светлая кожа)...
З
Здоровье
27.09.2021
Как улучшить сон...
О
Образование-и-коммуникации
11.10.2020
Как говорить по-фински: основные правила и рекомендации...
О
Образование-и-коммуникации
02.07.2021
Как построить пирамиду для школы: шаг за шагом руководство...
С
Стиль-и-уход-за-собой
16.06.2021
Как нарисовать дизайн ногтей Splatter...
К
Компьютеры-и-электроника
29.08.2022
Как быстро и легко изменить язык Google...
К
Компьютеры-и-электроника
05.08.2021
Секреты успешной презентации: Как создать эффективную презентацию в PowerPoint?...
Новые ответы от MOGZ: Математика
Andruha321
12.06.2022
Динозаврик дино растёт каждый год на 3 см . каждый день рождения бабушка дино отмечала его рост на стене . всего она сделала 6 отметок. на сколько вырос дино между первым и...
katya200513
12.06.2022
За 6 ч в сердце человека перекачивает 1620 литров крови. сколько литров крови сердце перекачивает за 4 ч? запиши решение и ответ...
vioren
12.06.2022
Aprēķini trijstūra prizmas pamata perimetru un prizmas sānu virsmas laukumu, ja visas prizmas šķautnes ir 6 cm garas. ppam. = cm ssānuv. = cm2...
SanyaVetka
12.06.2022
Из двух поселков одновременно навстречу друг другу выехали два велосипедиста. скорость первого 15км.ч. а скорость второго на 2 км.ч.меньше. через сколько часов встретятся велосипедисты,...
tttttrrr
12.06.2022
Сделайте доклад по технологии на тему деревянные часы заранее...
sumsckojr44
30.10.2021
Составьте слова из слова индустриализация...
Kapitonovakarol
30.10.2021
Из пункта а в пункт б находящийся на расстоянии 110 км от пункта а выехал автомобиль через 0,2 часа после этого следом за ним выехал мотоциклист который догнал автомобиль немедленно...
65893
30.10.2021
Найти среднее арифметическое чисел 37,47; 38,24; 37,74; 37,44; 37,55; и округлить его до сотых...
HappyPerson23
30.10.2021
Два билета в зоопарк стоят 360 рублей. столько же стоят три билета в кино. насколько рублей билет в зоопарк дороже билета в кино? запишите решение и ответ. полное решение....
video252
30.10.2021
Вмагазине продается сливочное масло в различных упаковках и по различной цене.. используя данные таблицы,найдите наименьшую цену за килограмм сливочного масла в этом магазине....
MOGZ ответил
Кому належала Буковина на кінець 15-початок 16 ст.? *...
Причина (причины) медленного освоения нефтяных месторождений в Ухтинском...
. На опору какой площади необходимо поставить груз весом 50 Н, чтобы произвести...
Скласти табличку досягнення і прорахунки економічний розвиток України за...
Які моральні уроки є у тексті чайка Джонатан Лівінгстон ....
3. What would you say if you took part in the following dialogue? Act it....
Щоб, від числа x відняти число -3, потрібно до числа x додати число...
3. Осуществите превращения, указав условия протекания реакций Карбид кальция→...
Конспект «Судьба и стихи А. Ахматовой»...
Провідміняти числівник: 92,70,50 словами...
Полный доступ к MOGZ
Живи умнее Безлимитный доступ к MOGZ
Оформи подписку
О НАС
О нас
Блог
Условия пользования
Авторское право
Политика конфиденциальности
Предпочтения cookie-файлов
ПОМОЩЬ
Зарегистрируйся
Центр помощи
Центр безопасности
App
Вход
Регистрация
Что ты хочешь узнать?
Спроси Mozg
Открыть лучший ответ
8
Пошаговое объяснение: