М
Молодежь
К
Компьютеры-и-электроника
Д
Дом-и-сад
С
Стиль-и-уход-за-собой
П
Праздники-и-традиции
Т
Транспорт
П
Путешествия
С
Семейная-жизнь
Ф
Философия-и-религия
Б
Без категории
М
Мир-работы
Х
Хобби-и-рукоделие
И
Искусство-и-развлечения
В
Взаимоотношения
З
Здоровье
К
Кулинария-и-гостеприимство
Ф
Финансы-и-бизнес
П
Питомцы-и-животные
О
Образование
О
Образование-и-коммуникации
yesayes
yesayes
30.12.2022 11:36 •  Математика

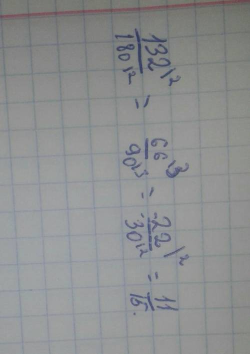
Подчеркните,где ошибка при сокращении дроби:132/180=66/90=33/30=11=10​

👇
Ответ:
MishaNY2001
MishaNY2001
30.12.2022

где 66/90.

66/90сокращаем на 3.

будет 22/30 сокращает на 2 и получиться 11/15


Подчеркните,где ошибка при сокращении дроби:132/180=66/90=33/30=11=10​
4,4(70 оценок)
Ответ:
djastin05
djastin05
30.12.2022

Пошаговое объяснение:

132/180 сокращаем на 2 и получается 66/90, сокращаем еще на 2 и получается 33/45, сокращаем на 3 и получаем 11/15 дальше дробь не сокращается.

4,6(64 оценок)
Открыть все ответы
Ответ:
danil2009cot
danil2009cot
30.12.2022

Подані координати вершин трикутника АВС: А (1,-1,6), В (-5,-1,0), С (4,0,0).

Знайти:

а) довжину та рівняння медіани АЕ, точка Е=(В+С)/2 = (-0,5; -0,5; 0).

Вектор АЕ = (-1,5; 0,5; -6), его длина равна√(2,25+0,25+36) = 6,204837.

Уравнение АЕ: (x - 1)/(-1,5) = (y + 1)/(0,5) = (z - 6)/(-6)

б) площу трикутника.

Находим векторы ВА и ВС.

ВА = (6; 0; 6), ВС = (9; 1; 0). S = (1/2)*{BAxBC}.

I          j       k|       i         j

6       0       6|       6       0

9       1         0|       9      1  = 0i + 54j + 6k - 0j - 6i - 0k = -6i + 54j + 6k.

Модуль равен √(36 + 2916 + 36) = √2988 ≈   54,66260.

S = (1/2)*54,66260 = 27,33130.

в) косинус кута В = (6*9+0*1+0*0)/(√72*√82) =54/√5904 = 54/  

76,83749085 =  0,702781928.

г) довжину висоти АД; h(AD) = 2S/|BC| = 2*27,33130/√82 = 6,0364745.

д) рівняння прямої , яка проходить через т. Е паралельно прямій АВ.

А (1,-1,6), В (-5,-1,0), С (4,0,0).

У этой прямой вектор сохраняется такой же, как и у АВ = (-6; 0; -6).

Точка Е (-0,5; -0,5; 0)

(x + 0,5)/(-6) = (y + 0,5)/0 = z/(-6).

В этом случае в прямоугольной системе координат Oxyz в пространстве прямая лежит в плоскости, которая параллельна координатной плоскости Oxz.

4,5(94 оценок)
Ответ:
JANAOOP29
JANAOOP29
30.12.2022

2 см

Пошаговое объяснение:

1) Согласно приведённому описанию, точка S, равноудалённая  от каждой из сторон правильного треугольника АВС, является правильной пирамидой SABC.

2) Искомое расстояние - это высота правильной пирамиды SABC, в которой  расстояние от точки S до стороны АС является высотой боковой грани пирамиды.

3) Так как пирамида правильная, то проекция точки S на треугольник АВС лежит в точке пересечения его медиан (они же - высоты), которые в этой точке делятся в отношении 2 к 1, считая от вершины.

4) Высота h правильного треугольника, лежащего в основании пирамиды, равна произведению длины его стороны на (√3)/2:

h = 2√3 · (√3)/2 = 3.

5) Соответственно длина проекции высоты боковой грани равна:

3 : 3 · 1 = 1 см.

6) По теореме Пифагора находим H - расстояние от точки S до плоскости (АВС), для чего от квадрата гипотенузы с = √5 отнимаем квадрат известного катета b = 1 и извлекаем корень квадратный из полученного результата:

H = а = √((√5)² - (1)²) = √4 = 2 см

ответ: 2 см.

4,5(64 оценок)
Это интересно:
Новые ответы от MOGZ: Математика
logo
Вход Регистрация
Что ты хочешь узнать?
Спроси Mozg
Открыть лучший ответ