М
Молодежь
К
Компьютеры-и-электроника
Д
Дом-и-сад
С
Стиль-и-уход-за-собой
П
Праздники-и-традиции
Т
Транспорт
П
Путешествия
С
Семейная-жизнь
Ф
Философия-и-религия
Б
Без категории
М
Мир-работы
Х
Хобби-и-рукоделие
И
Искусство-и-развлечения
В
Взаимоотношения
З
Здоровье
К
Кулинария-и-гостеприимство
Ф
Финансы-и-бизнес
П
Питомцы-и-животные
О
Образование
О
Образование-и-коммуникации
lolii0ikolik
lolii0ikolik
31.08.2021 21:22 •  Математика

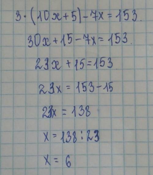
Используя результаты предыдущего действия решите уравнение 3*(10x+5)-7x=153​

👇
Ответ:
Relentlez
Relentlez
31.08.2021

ответ на картинках вот


Используя результаты предыдущего действия решите уравнение 3*(10x+5)-7x=153​
4,7(91 оценок)
Ответ:
Tashkentskiy
Tashkentskiy
31.08.2021

Раскрываем скобки и получаем

Пошаговое объяснение:

30х+15-7х=153 , х в одну сторону числа в другую

30х-7х=153-15

23х=138

х=6

4,4(23 оценок)
Открыть все ответы
Ответ:
Adiya1234567
Adiya1234567
31.08.2021

Пошаговое объяснение:

ответ:BC=5

Пошаговое объяснение:

На треугольнике ABC с прямого угла C проводим высоту CH.

В итоге получаем треугольник ACH и и треугольник HBC.

Треугольник ACH и HBC подобны Если две стороны одного треугольника пропорциональны двум сторонам другого треугольника, а углы, заключённые между этими сторонами равны, то такие треугольники подобны.

Так как CH делит сторону AB пополам, то AH=HB=4

Сторона hc одинакова для данных треугольники , а угол AHC= углу BHC=45°.

Находим сторону BC по теореме Пифагора.

BC=√BH^2+HC^2=√16+9=√25=5

4,8(44 оценок)
Ответ:

Раскроем скобки по правилу: если перед скобками стоит знак «-», то при раскрытии скобок надо опустить этот знак, а все знаки, стоящие перед слагаемыми внутри скобок, изменив на противоположные; если перед скобками стоит знак «+», то при раскрытии скобок надо опустить этот знак, а все знаки, стоящие перед слагаемыми внутри скобок, оставить без изменений. Получаем:

 

(4 x y 2 – x + 2 х 2 y ) - (2 x y2 + 3 x + 2 x 2 y) =  4 x y 2 – x + 2 х 2 y  - 2 x y2 - 3 x - 2 x 2 y = 2 x y2 – 4 х.

Пошаговое объяснение:

4,5(43 оценок)
Новые ответы от MOGZ: Математика
logo
Вход Регистрация
Что ты хочешь узнать?
Спроси Mozg
Открыть лучший ответ