

1) Примем условно, что х=авс - это какое-то неизвестное число, но а, в, с-цифры, от 0 до 9 включительно( т.е все цифры меньше 10).
2) Тогда х=авс можно записать как (100а+10в+с) , а число асв, которое получилось после перестановки второй и третьей цифр, записать как (100а+10с+в)
3) Но по условию задания, Вы должны вычесть из х=авс число асв и получить 36: (100а+10в+с)-(100а+10с+в)=36. Раскрывая скобки и приводя подобные члены уравнения, Вы, конечно, получите: 9в-9с=36 или в-с=4.
4) Но Вам также, по условию задания, дано, что при сложении цифр(но не чисел!!), должно быть: а+в+с=22
5) Составим систему уравнений:
║ в+с=4
║ а+в+с=22
или
║ с=в-4
║ с=22-а-в. Складывая по отдельности левые и правые части уравнений последней системы, должны получить: 2с=18-а
6) Теперь рассмотрим два , ранее полученных уравнения:
в=4+с и а=18-2с. Цифра с, входящая как слагаемое в число в, не может быть больше 5, ну например 6. Тогда цифра в была бы равной 10, а мы условились , что: а, в, с-это цифры до 10.
6) Проверим цифру с=5. Тогда в=4+с=4+5=9 и а=18-2с=18-10=8.
В этом случае искомое число х=авс=895 и число асв=859 ⇒895-859=36(что и сказано в условии задания)
7) Но, конечно, проверим теперь число с, которое меньше 5,
например пусть с=4
Получим: в=4+с=4+4=8, и а=18-2с=18-8=10( не подходит, т.к тоже не отвечает поставленному ранее условию, что все цифры меньше 10).
ответ: х=895
Пошаговое объяснение:
Відповідь:
13 сентября Юра дорешает все задачи в учебнике.
Покрокове пояснення:
7 сентября Юра решил Х задач, 8 сентября - ( Х - 1 ), 9 сентября - ( Х - 2 ).
За три дня Юра решил Х + ( Х - 1 ) + ( Х - 2 ) = 3Х - 3 = 91 - 46 = 45 задач.
Х = 16 задач - Юра решил 7 сентября, ( Х - 1 ) = 15 задач - Юра решил 8 сентября, ( Х - 2 ) = 14 задач - Юра решил 9 сентября.
10 сентября Юра решит 14 - 1 = 13 задач и останется решить 46 - 13 = 33 задачи.
11 сентября Юра решит 13 - 1 = 12 задач и останется решить 33 - 12 = 21 задачу.
12 сентября Юра решит 12 - 1 = 11 задач и останется решить 21 - 11 = 10 задач.
13 сентября Юра решит 11 - 1 = 10 задач и останется решить 10 - 11 = 0 задач - все задачи решены.
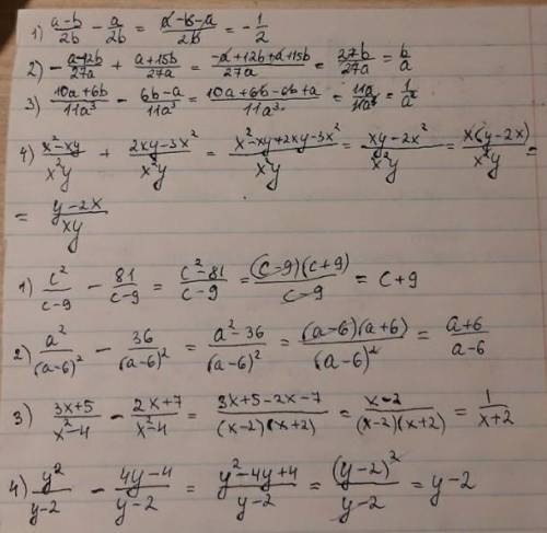
решение на фотографии