М
Молодежь
К
Компьютеры-и-электроника
Д
Дом-и-сад
С
Стиль-и-уход-за-собой
П
Праздники-и-традиции
Т
Транспорт
П
Путешествия
С
Семейная-жизнь
Ф
Философия-и-религия
Б
Без категории
М
Мир-работы
Х
Хобби-и-рукоделие
И
Искусство-и-развлечения
В
Взаимоотношения
З
Здоровье
К
Кулинария-и-гостеприимство
Ф
Финансы-и-бизнес
П
Питомцы-и-животные
О
Образование
О
Образование-и-коммуникации
10.11.2021 05:25 •  Математика

Хелп
(я не знаю что еще написать)


Хелп (я не знаю что еще написать)

👇
Ответ:
ama14
ama14
10.11.2021

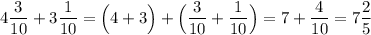
В 1-ый час туристы 4\dfrac{3}{10}   км .

Во 2-ой час туристы

4\dfrac{3}{10}-1\dfrac{1}{5}=\Big(4-1\Big)+\Big(\dfrac{3}{10}-\dfrac{2}{10}\Big)=3+\dfrac{1}{10}=3\dfrac{1}{10}   км .

За два часа туристы

4\dfrac{3}{10}+3\dfrac{1}{10}=\Big(4+3\Big)+\Big(\dfrac{3}{10}+\dfrac{1}{10}\Big)=7+\dfrac{4}{10}=7\dfrac{2}{5}  км .

4,4(72 оценок)
Открыть все ответы
Ответ:
1 Дом  - 24 этажа
1 Этаж - 8 квартир 
? этаж - 163 квартира

Решение:

1) 24 * 8  = 192 (квар) - всего в доме
2) 8 * 1 = 8 - на первом этаже с 1 по 8
3) 8 + 8 = 16 - на втором этаже с 9 по 16
4) 16 + 8 = 24 - на третьем этаже с 17 по 24
5) 24 + 8 = 32 - на четвертом этаже с 25 по 32
6) 32 + 8 = 40- на пятом этаже с 33 по 40
7) 40 + 8 = 48 - на шестом этаже с 41 по 48
8) 48 + 8 = 56 - на седьмом этаже с 49 по 56
9) 56 + 8 = 64 - на восьмом этаже с 57 по 64
10) 64 + 8 = 72 - на девятом этаже с 65 по 72
11) 72 + 8 = 80 - на десятом этаже с 73 по 80
12) 80 + 8 = 88 - на одиннадцатом этаже с 81 по 88
13) 88 + 8 = 96 - на двеннадцатом этаже с 89 по 96
14) 96 + 8 = 104 - на триннадцатом этаже с 97 по 104
15) 104 + 8 = 112 - на четырнадцатом этаже с 105 по 112
16) 112 + 8 = 120 - пятнадцатом этаже с 113 по 120
17) 120 + 8 = 128 - на шестнадцатом этаже с 121 по 128
18) 128 + 8 = 136 - на семнадцатом этаже с 129 по 136
19) 136 + 8 = 144 - на восемнадцатом этаже с 137 по 144
20) 144 + 8 = 152 - на девятнадцатом этаже с 145 по 152
21) 152 + 8 = 160 - на двадцатом этаже - 153 - 160
21) 160 + 8 = 168  - на двадцать первом этаже - 161 - 168

ответ: Кошка Клёпа живет на 21 этаже 

Второй

1) 24 * 8 = 192 (кварт) - всего в доме
2) 192 - 168  = 24 квартиры лишних
3) 24 : 8 = 3 этажа лишних 
4) 24 - 3 = 21 этаж - живет Кошка Клёпа

ответ: на 21 этаже 
4,5(48 оценок)
Ответ:
nastya632011
nastya632011
10.11.2021
Самое прекрасное в мире – природа. Человек не создать что-либо равное по красоте природе. Туман над рекой, заснеженный лес, спокойное или штормовое море – всё это чудо, которое заставляет нас восхищаться одним своим видом. Это вода и горы, леса и луга. У каждого из этих чудес природы своя жизнь, свои секреты.

Одно из самых загадочных и прекрасных творений нашей планеты – лес. Он славится своей красотой и щедростью. Если пойти в лес, то он встретит нас цветами, одарит грибами, орехами, ягодами, укроет от зноя листвой.

Лес сказочно красив. Его красота меняется вместе со сменой времён года, сменой дня и ночи.

Чудесен лес весной. На деревьях набухают почки, вот-вот появятся первые листочки, поют птицы, рождаются новые цветы и деревья, новые звери и птицы.

Но больше всего я люблю лес осенью! Осень – грустная пора. Жалко провожать лето, а до весны так далеко. Но как же хорошо осенью в лесу! Каждому деревцу она подарила свой неповторимый наряд. Берёзки стоят в жёлтых платьицах, осины – золотисто-оранжевые. А какой красавец клён! Его листья самые чудесные: жёлто-зелёные, красные, багряные. Эти большие листья – звёзды – ярко выделяются среди листвы других деревьев. Только чудные ёлочки и величественные сосны не меняют цвета своих нарядов, стоят зелёные круглый год.

Мне кажется, что лес – главное чудо природы. Леса украшают землю, учат человека понимать прекрасное и улучшают настроение. Лес – место жизни зверей и птиц, многочисленных насекомых, в нём растут грибы, орехи, ягоды, лекарственные растения. Летом деревья очищают воздух от пыли. Особенно полезен воздух для человека в сосновом лесу. Хвоя и сами деревья вырабатывают ароматические вещества, которые вылечивают многие тяжёлые болезни. Зелень снижает промышленную радиацию. Прогулка по лесу – эликсир от душевных ран.

Леса нашей страны – это богатство нашего Отечества. Большинство людей – друзья леса. Они ценят то богатство, которое дала нам природа, заботятся о лесе. Но нельзя не видеть и другое. Нередко в лесу появляются и те, кто может развести костёр, сломав молодое деревце, разрушить муравейник, разорить гнездо, напугать криками птиц и зверей, устроить пожар. А сколько ещё браконьеров. Человек часто оказывается опаснейшим врагом леса, истребляя и деревья, и животных. Лес надо беречь, охранять. Очень важно воспитывать у людей культуру поведения в лесу, бережное к нему отношение. Лес – наш друг, нельзя допустить, чтобы это чудо, это великое творение природы погибло.

В последнее время много говорят об охране природы. Мы так загрязнили моря и реки, леса и степи, что живого на белом свете всё меньше, с каждым годом всё больше «химии».

Многие люди посвящают свою жизнь охране леса, борьбе с браконьерами, заботе обо всех лесных жителях. Благодаря их труду, их ответственности, любви к своей нелёгкой профессии, к лесу, жизнь продолжается – жизнь леса и жизнь людей.
4,4(40 оценок)
Это интересно:
Новые ответы от MOGZ: Математика
logo
Вход Регистрация
Что ты хочешь узнать?
Спроси Mozg
Открыть лучший ответ