
4 299/500 дм2
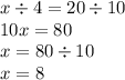
Как это решать?
Чтобы умножить дробь на дробь, надо умножить их числители и записать числителем, а их знаменатели умножить и записать знаменателем.
С букв правило умножение дробей можно записать так:
a/b * c/d = a*c/b*d
Где А,С - натуральные числа или нуль; D,B - натуральные числа
1. Разделить с остатком числитель на знаменатель;
2. В качестве целой части взять неполное частное;
3. Остаток будет числителем, а делитель – знаменателем дробной части.
!ПРОВЕРЕНО В ОНЛАЙН МЕКТЕП!
Даны прямые 5x – 4y+ n = 0 та 10x + ay – (2n + 2) = 0, n=13.
У параллельных прямых коэффициенты при переменных должны быть пропорциональны (или равны). Подставим n = 13.
5x – 4y + 13 = 0 та 10x + ay – (2*13 + 2) = 0, Видим, что а = (10/5)*(-4) = -8.
Получаем 5x – 4y + 13 = 0 та 10x - 8y – 28 = 0.
Можно привести к одинаковым коэффициентам оба уравнения:
10x – 8y + 26 = 0 та 10x - 8y – 28 = 0.
Если известны уравнения прямых в декартовой системе координат, то можно их записать:
ax+by+c_{1}=0,
ax+by+c_{2}=0,
где расстояние между прямыми можно записать так:
d = |c_{2}-c_{1}|/√(a² + b²).
Подставим данные из уравнений.
d = |-28-26|/√(10² + (-8)²) = 54/√164 = 27/√41 ≈ 4,2167.