
Первое задание. Первая дробь: 18/28 сокращаешь на 2, получается 9/14
Вторую дробь сокращаешь на 3. Получается 21/27
Второе задание. Чтобы сравнить, нужно привести к общему знаменателю (число под чертой). Под цифрой 1 первую дробь приводим к знаменателю 26,для этого умножаем первую дробь)(6/13) на 2, получаем 12/26. Теперь сравниваем 12/26>11/26
Под цифрой 2 по аналогии, к общему знаменателю (40), умножаем первую дробь на 5,вторую дробь на 8. Получаем 15/40 и 16/40, соответственно вторая дробь больше
Третье задание: 1) общий знаменатель 72,дополнительный множитель для первой дроби 9,для второй 8,получаем 59/72
2)общий знаменатель 24,доп множитель для первой дроби 2,для второй 3,получаем 5/24
3)общий знаменатель 40,дополнительные множители 5 и 4 соответственно, ответ 177/40
4)общий знаменатель 60,дополн множ к первой дроби 6,ко второй 5,ответ 177/60
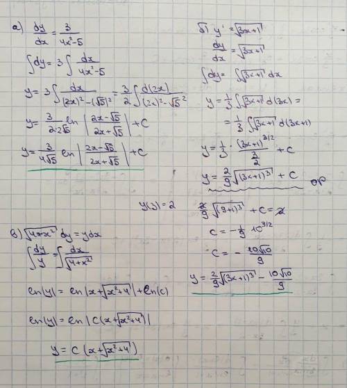
Четвёртое задание (смотри фото)
Пятое и шестое (смотри фото)
Вроде всё, удачи!

решение на фотографии