
а) 14 = 2 · 7; 77 = 7 · 11
НОК (14 и 77) = 2 · 7 · 11 = 154 - наименьшее общее кратное
154 : 14 = 11 154 : 77 = 2
b) 12 = 2² · 3; 18 = 2 · 3²
НОК (12 и 18) = 2² · 3² = 36 - наименьшее общее кратное
36 : 12 = 3 36 : 18 = 2
с) 24 = 2³ · 3; 28 = 2² · 7
НОК (24 и 28) = 2³ · 3 · 7 = 168 - наименьшее общее кратное
168 : 24 = 7 168 : 28 = 6
d) 32 = 2⁵; 12 = 2² · 3; 20 = 2² · 5
НОК (32; 12 и 20) = 2⁵ · 3 · 5 = 480 - наименьшее общее кратное
480 : 32 = 15 480 : 12 = 40 480 : 20 = 24
число 64
Пошаговое объяснение:
Пусть первая цифра числа равна а, вторая цифра равна b.
Тогда число запишем, как 10a+b;
a+b=10; a+b=10; a+b=10;
(a-b)(10a+b)=128; 10a²+ab-10ab-b²=128; 10a²-9ab-b²=128;
a=10-b; a=10-b;
10(10-b)²-9(10-b)b-b²-128=0; 10(100-20b+b²)-90b+9b²-b²-128=0;
a=10-b;
1000-200b+10b²-90b+8b²-128=0; 18b²-290b+872=0;
18b²-290b+872=0; √D=√(290²-4*18*872)=146;
b₁₂=(290±146)/36;
b₁=12,111...; b₂=4;
a=10-b; a=10-4=6;
число 64.
Проверка:
сумма цифр 6+4=10 - верно!
(6-4)*64=2*64=128 - верно!
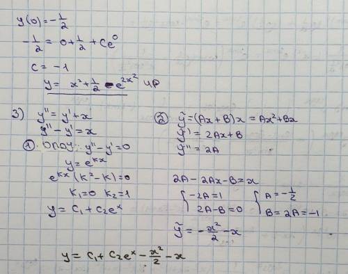
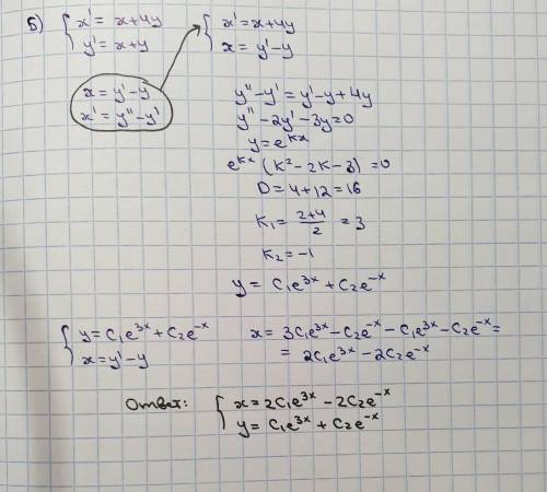
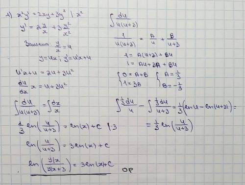
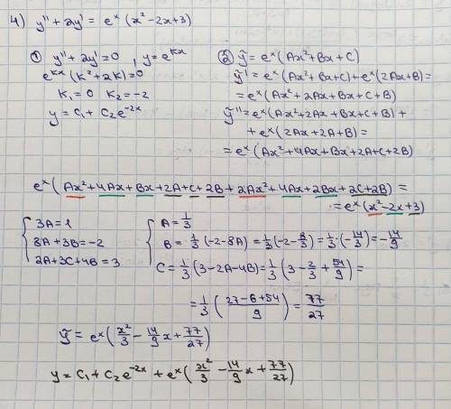
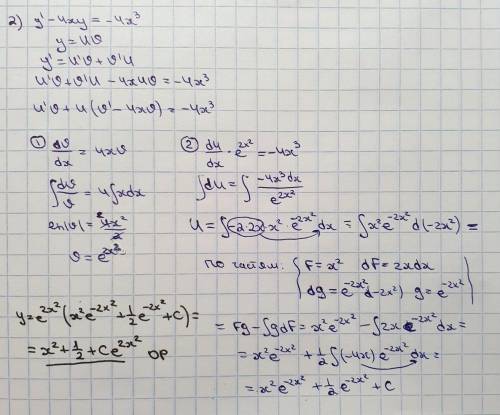
решение на фотографиях