М
Молодежь
К
Компьютеры-и-электроника
Д
Дом-и-сад
С
Стиль-и-уход-за-собой
П
Праздники-и-традиции
Т
Транспорт
П
Путешествия
С
Семейная-жизнь
Ф
Философия-и-религия
Б
Без категории
М
Мир-работы
Х
Хобби-и-рукоделие
И
Искусство-и-развлечения
В
Взаимоотношения
З
Здоровье
К
Кулинария-и-гостеприимство
Ф
Финансы-и-бизнес
П
Питомцы-и-животные
О
Образование
О
Образование-и-коммуникации
Vlad0072005
Vlad0072005
20.10.2022 06:56 •  Математика

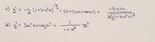
Задание: продифферинцировать функции


Задание: продифферинцировать функции

👇
Ответ:
turovyuriy
turovyuriy
20.10.2022

решение на фотографии


Задание: продифферинцировать функции
4,6(46 оценок)
Открыть все ответы
Ответ:
adelinapak
adelinapak
20.10.2022
5 задача 
ответ:4620/77=60 об/мин, 1080/54=20 об/мин. Первое колесо в 3 раза быстрее вращается
4 работа
1)1) (15+12):20=27:20=1 (ост.7)Остаток при делении суммы чисел на 20 равен 7.2) (15-12):20=3:20=0 (ост.3)Остаток при делении разности чисел на 20 равен 3.
2)18/45 сокращаем на 918:9=245:9=5 18/45=2/5 
3)по-моему так:
1)4/5 
2)3,5238
4)1) 110 : 11 х 7 = 70 км/ч скорость автобуса2) 110 - 70 = 40 км/ч разница в скорости 3) 40 х 0,5 = 20 км будет между ними через 30 минут          30 минут= 0,5 часа
5)составляем пропорцию
3-12мин
35-Х мин
Х=35х12:3=140мин
ответ фильм длился 140мин или 2часа20мин
4,5(65 оценок)
Ответ:
mashabest19861
mashabest19861
20.10.2022
5 задача 
ответ:4620/77=60 об/мин, 1080/54=20 об/мин. Первое колесо в 3 раза быстрее вращается
4 работа
1)1) (15+12):20=27:20=1 (ост.7)Остаток при делении суммы чисел на 20 равен 7.2) (15-12):20=3:20=0 (ост.3)Остаток при делении разности чисел на 20 равен 3.
2)18/45 сокращаем на 918:9=245:9=5 18/45=2/5 
3)по-моему так:
1)4/5 
2)3,5238
4)1) 110 : 11 х 7 = 70 км/ч скорость автобуса2) 110 - 70 = 40 км/ч разница в скорости 3) 40 х 0,5 = 20 км будет между ними через 30 минут          30 минут= 0,5 часа
5)составляем пропорцию
3-12мин
35-Х мин
Х=35х12:3=140мин
ответ фильм длился 140мин или 2часа20мин
4,6(38 оценок)
Новые ответы от MOGZ: Математика
logo
Вход Регистрация
Что ты хочешь узнать?
Спроси Mozg
Открыть лучший ответ