М
Молодежь
К
Компьютеры-и-электроника
Д
Дом-и-сад
С
Стиль-и-уход-за-собой
П
Праздники-и-традиции
Т
Транспорт
П
Путешествия
С
Семейная-жизнь
Ф
Философия-и-религия
Б
Без категории
М
Мир-работы
Х
Хобби-и-рукоделие
И
Искусство-и-развлечения
В
Взаимоотношения
З
Здоровье
К
Кулинария-и-гостеприимство
Ф
Финансы-и-бизнес
П
Питомцы-и-животные
О
Образование
О
Образование-и-коммуникации
акл2
акл2
02.10.2020 08:00 •  Математика

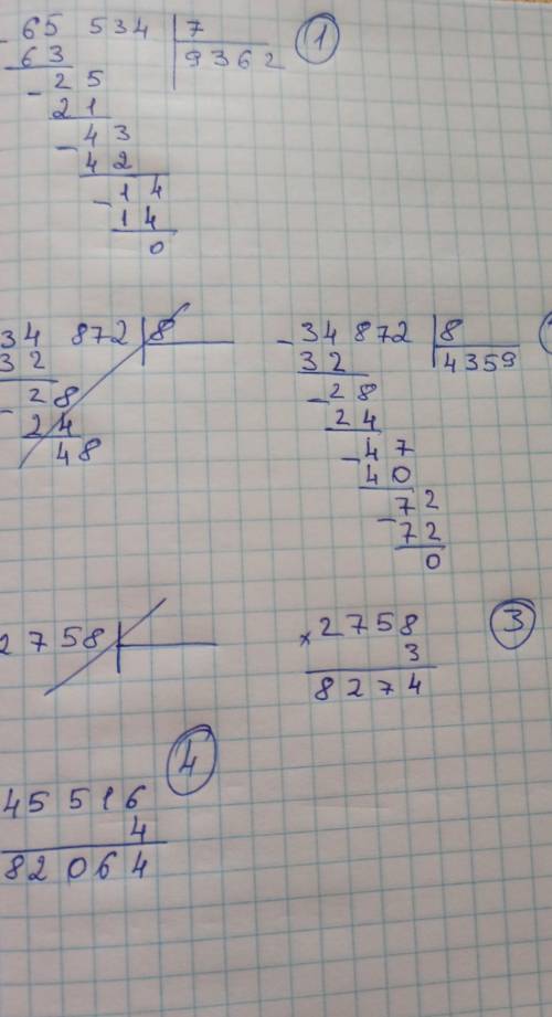
5 Вычисли письменно. Сделай проверку.
65 534:7
34 872 : 8
2 758 . 3
45 516 .4
я уже не успеваю СОР быстрее Я уже не успеваю я наверное не успею соч

👇
Ответ:
dzhoxa
dzhoxa
02.10.2020

1.9362

2.4359

3.8274

4.182064

Пошаговое объяснение:

это легко

4,8(64 оценок)
Ответ:
Dive1
Dive1
02.10.2020

Пошаговое объяснение:

1 - 9362

2-4359

3-8274

4-182064


5 Вычисли письменно. Сделай проверку.65 534:734 872 : 82 758 . 345 516 .4 я уже не успеваю СОР быстр
4,7(63 оценок)
Открыть все ответы
Ответ:
Marinr
Marinr
02.10.2020
Моя кошка. У меня есть хороший друг - кошка Марго. Ее мы купили два года назад. Сначала она была маленьким комочком, умилительным и игривым. Но котята растут быстро. Вскоре Марго превратилась в харизматичного подростка, портящего квартиру и приносящего мне кучу радости вместе с нагоняями от родителей. Однажды я решила приучить Марго к шлейке. Меня беспокоило, что она уже не маленькая - с изворачивающейся ''девушкой'' куда труднее сладить, чем с котенком. И я не ошиблась - бедное животное всеми силами пыталось вылезти из ремешка. А во время прогулок она так дергалась из стороны в сторону, что скорее не я выгуливала кошку, а она меня. Но со временем Марго привыкла, и теперь она довольно-таки чинно прогуливается в этом ''ошейнике''. Сейчас она вообще уже остепенилась, перестала все портить. Марго превратилась просто в хорошего товарища, с которым можно, как с человеком, обсудить любую проблему или порадоваться чему-то. Мы очень хорошо понимаем друг друга, и нам нравится проводить время вместе!
4,5(2 оценок)
Ответ:
Ученик28889
Ученик28889
02.10.2020
Сочинение описание: Крым

Далеко в море уходит большой участок суши – полуостров Крым. Природа его удивительная! Южную часть занимает степь, на крайнем юге пролегают горы, которые спускаются просто к морю. Крымские горы сравнительно невысокие и тянутся на 150 км. Высочайшая вершина Крыма гора Роман-Кош – имеет высоту 1545 м. Между горами и морем тянется полоса побережья – Южный берег Крыма. Горы защищают этот уголок от северных ветров, а море смягчает жару. Это самый теплый регион страны.

Здесь очень благоприятный климат – весна наступает в феврале, а безморозный период превышает 220 дней. По количеству солнечных дней Крым занимает одно из первых мест в Восточной Европе! Разнообразна и растительность полуострова. Шиповник, ежевика, боярышник вместе со скумпией, ладаном и другими кустами образуют непролазные заросли. Обычными для этих мест являются дубы. Кое-где сохранились типично средиземноморские рощи, которые состоят из можжевельника, сосны Станкевича, фисташки туполистой. На открытой местности властвуют группировки южных сухолюбивых растений наподобие астрагала, кермека. Выше в горах появляются леса, которые состоят из крымской сосны и других различных видов деревьев. На высоте 1000 1300 м растут большие дубы, буковые и смешанные леса, а также сосна крымская. Еще выше, на вершинах со сглаженным рельефом начинаются лугостепи. В горах Крыма количество осадков доходит до 1100 мм. Вот почему здесь растет бук – довольно влаголюбивая порода дерева. все что нашел извини
4,6(76 оценок)
Это интересно:
Новые ответы от MOGZ: Математика
logo
Вход Регистрация
Что ты хочешь узнать?
Спроси Mozg
Открыть лучший ответ