М
Молодежь
К
Компьютеры-и-электроника
Д
Дом-и-сад
С
Стиль-и-уход-за-собой
П
Праздники-и-традиции
Т
Транспорт
П
Путешествия
С
Семейная-жизнь
Ф
Философия-и-религия
Б
Без категории
М
Мир-работы
Х
Хобби-и-рукоделие
И
Искусство-и-развлечения
В
Взаимоотношения
З
Здоровье
К
Кулинария-и-гостеприимство
Ф
Финансы-и-бизнес
П
Питомцы-и-животные
О
Образование
О
Образование-и-коммуникации
vladaleonova
vladaleonova
16.01.2023 10:25 •  Математика

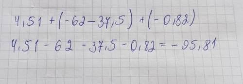
4,51+(-62-37,5)+(-0,82)
да ​

👇
Ответ:

На фото.............


4,51+(-62-37,5)+(-0,82) да ​
4,4(57 оценок)
Ответ:
sofyadeeva
sofyadeeva
16.01.2023

1) 3,69

2)-95,81 это правилный ответь

4,7(26 оценок)
Открыть все ответы
Ответ:
butchenko02
butchenko02
16.01.2023

ответ: а) а * 948 - 6 390 = 429 690

а * 948 = 429 690 + 6 390

а * 948 = 436 080

а = 436 080 : 948

а = 460

460 * 948 - 6 390 = 429 690

436 080 - 6 390 = 429 690

429 690 = 429 690

б) 273 996 : b + 15 764 = 16 151

273 996 : b = 16 151 - 15 764

273 996 : b = 387

b = 273 996 : 387

b = 708

273 996 : 708 = 16 151 - 15 764

387 = 387

в) (50 - х) : 7 + 195 = 40 * 5

(50 - х) : 7 + 195 = 40 * 5

(50 - х) : 7 + 195 = 200

(50 - х) : 7 = 200 - 195

(50 - х) : 7 = 5

50 - х = 5 * 7

50 - х = 35

х = 50 - 35

х = 15

(50 - 15) : 7 + 195 = 40 * 5

35 : 7 + 195 = 200

5 + 195 = 200

200 = 200

г) (270 : у - 2) * 30 = 7 *120

(270 : у - 2) * 30 = 840

270 : у - 2 = 840 : 30

270 : у - 2 = 28

270 : у = 28 + 2

270 : у = 30

у = 270 : 30

у = 9

(270 : 9 - 2) * 30 = 7 * 120

(30 - 2) * 30 = 840

28 * 30 = 840

840 = 840

Пошаговое объяснение:

4,4(55 оценок)
Ответ:
margo344
margo344
16.01.2023

нарисуй небольшую прямую. отметь на ней ноль в середине. и расставляй числа. например к нулю ближе будет -2763 поэтому это число больше.

Пошаговое объяснение:

чем левее число на прямой, тем меньше оно.

а) <

б)<

в) переведи в десятичную дробь -⅗ (3•2 и 5• 2 до десяти, это будет 0,6) -0,6 будет ближе к нулю, поэтому знак >

г) -1⅕ нужно перевести в десятичную это будет -1,2 а так как там -1,16 то можно представить -1,2 как -1,20 поэтому знак будет > так как -1,16 ближе к нулю

д) -¾ к десятичной дроби нужно умножая оба числа на 25 (до 100 под доброй чертой) поэтому нужно обе дроби привести к общему знаменателю 100. -⅘ надо умножить на 20 это будет -0,2 а -¾ нужно умножить на 25 это будет -0,75

-0,2 будет ближе к нулю поэтому знак >

е) -⅔ нельзя привести к дестичной дроби, поэтому представляем -0,8 как 8/10 (/-черта дроби) ⅔ и ⁸/¹⁰ можно привести к общему знаменателю 30, для этого нужно ⅔ умножить на 10 это будет ²⁰/³⁰ а ⁸/¹⁰ умножить на 3, это будет ²⁴/³⁰, ну и понятно, что больше будет ²⁰/³⁰, значит, оно дальше от нуля, так как у нас перед числами минус. ответ >

4,7(27 оценок)
Это интересно:
Новые ответы от MOGZ: Математика
Полный доступ к MOGZ
Живи умнее Безлимитный доступ к MOGZ Оформи подписку
logo
Вход Регистрация
Что ты хочешь узнать?
Спроси Mozg
Открыть лучший ответ