М
Молодежь
К
Компьютеры-и-электроника
Д
Дом-и-сад
С
Стиль-и-уход-за-собой
П
Праздники-и-традиции
Т
Транспорт
П
Путешествия
С
Семейная-жизнь
Ф
Философия-и-религия
Б
Без категории
М
Мир-работы
Х
Хобби-и-рукоделие
И
Искусство-и-развлечения
В
Взаимоотношения
З
Здоровье
К
Кулинария-и-гостеприимство
Ф
Финансы-и-бизнес
П
Питомцы-и-животные
О
Образование
О
Образование-и-коммуникации
AnnyKat
AnnyKat
20.12.2021 17:36 •  Математика

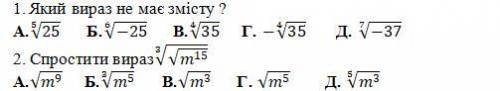
Властивості арифметичного кореня n-го степеня. Дії над коренями


Властивості арифметичного кореня n-го степеня. Дії над коренями
Властивості арифметичного кореня n-го степеня. Дії над коренями
Властивості арифметичного кореня n-го степеня. Дії над коренями

👇
Открыть все ответы
Ответ:
1. Солдату надлежит быть здоровому, храброму, твердому и правдивому.

2. Всякий воин должен понимать свой маневр.

3. Тяжело в учении — легко в походе; легко в учении — тяжело в походе.
4. Стреляй редко — да метко, штыком коли крепко.

5. Где пройдет олень, там пройдет и солдат.

6. Граждан Республики не обижай. Солдат не разбойник.

7. Три военных искусства: первое — глазомер; второе — быстрота; третье — натиск.

8. Учение — свет, неученье — тьма; дело мастера боится.

9. Послушание, обучение, дисциплина, чистота, здоровье, опрятность, бодрость, смелость, храбрость — победа.

10. Негоден тот солдат, кто отвечает: «не могу знать» , проклятое «не могу знать» ; от «немогузнайки» много-много беды».
4,4(45 оценок)
Ответ:
BWorld
BWorld
20.12.2021
1. Солдату нужно быть здоровому, храброму, честному. Любой воин должен понимать свое действие. Не обижать людей других национальностей. Учение - свет, неученье - тьма. 
2. Университет им. Ломоносова, ныне МГУ.
3. Стали открываться училища, было уделено внимание женщинам, их образованию, был открыт Смольный институт благородных девиц.
4. Вместо панталон - брюки, появился галстук.
5. 1) Свеча Яблочкова. 2) Земледелие и физиология растений.

Надеюсь, что у меня все правильно и, если это так, то жду "Лучшего ответа". :) (Если что то непонятно, напиши в комментарии, объясню).
4,8(44 оценок)
Новые ответы от MOGZ: Математика
logo
Вход Регистрация
Что ты хочешь узнать?
Спроси Mozg
Открыть лучший ответ