М
Молодежь
К
Компьютеры-и-электроника
Д
Дом-и-сад
С
Стиль-и-уход-за-собой
П
Праздники-и-традиции
Т
Транспорт
П
Путешествия
С
Семейная-жизнь
Ф
Философия-и-религия
Б
Без категории
М
Мир-работы
Х
Хобби-и-рукоделие
И
Искусство-и-развлечения
В
Взаимоотношения
З
Здоровье
К
Кулинария-и-гостеприимство
Ф
Финансы-и-бизнес
П
Питомцы-и-животные
О
Образование
О
Образование-и-коммуникации
aknietzhumanova
aknietzhumanova
24.09.2020 05:49 •  Математика

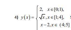
Найти область задания функции, область значений функции, исследовать функцию на непрерывность , дать эскиз графика функции.


Найти область задания функции, область значений функции, исследовать функцию на непрерывность , дать

👇
Открыть все ответы
Ответ:
Пусть всего Х кур  и Y  козлят,Голов всего  столько, сколько кур  и козлят вместе:  Х + Y = 17 голов.Ног у кур 2Х , а у козлят 4Y , значит всего ног 2Х + 4Y = 46  ног.
 Решаем систему:     Х + Y = 17                = >   Х = 17 - Y   (подставляем во второе)                             
2Х + 4Y = 46
 2(17 - Y) + 4Y = 46
34 - 2Y  + 4Y = 46
34 + 2Y = 462Y = 46 - 34
2Y = 12
Y = 6
Х = 17 - Y  = 17 - 6 = 11
ответ:  11 кур и 6 козлят.


   пусть х-козлят
тогда кур(17-х).составим уравнение
4х+2*(17-х)=46
4х+34-2х=46
2х=12
х=6-коз.
17-6=11-кур.Голов всего  столько, сколько кур  и козлят вместе:  Х + Y = 17 голов.
4,6(4 оценок)
Ответ:
shakirqasanov
shakirqasanov
24.09.2020
Пусть всего Х кур  и Y  козлят,Голов всего  столько, сколько кур  и козлят вместе:  Х + Y = 17 голов.Ног у кур 2Х , а у козлят 4Y , значит всего ног 2Х + 4Y = 46  ног.
 Решаем систему:     Х + Y = 17                = >   Х = 17 - Y   (подставляем во второе)                             
2Х + 4Y = 46
 2(17 - Y) + 4Y = 46
34 - 2Y  + 4Y = 46
34 + 2Y = 462Y = 46 - 34
2Y = 12
Y = 6
Х = 17 - Y  = 17 - 6 = 11
ответ:  11 кур и 6 козлят.


   пусть х-козлят
тогда кур(17-х).составим уравнение
4х+2*(17-х)=46
4х+34-2х=46
2х=12
х=6-коз.
17-6=11-кур.Голов всего  столько, сколько кур  и козлят вместе:  Х + Y = 17 голов.
4,7(28 оценок)
Это интересно:
Новые ответы от MOGZ: Математика
logo
Вход Регистрация
Что ты хочешь узнать?
Спроси Mozg
Открыть лучший ответ