М
Молодежь
К
Компьютеры-и-электроника
Д
Дом-и-сад
С
Стиль-и-уход-за-собой
П
Праздники-и-традиции
Т
Транспорт
П
Путешествия
С
Семейная-жизнь
Ф
Философия-и-религия
Б
Без категории
М
Мир-работы
Х
Хобби-и-рукоделие
И
Искусство-и-развлечения
В
Взаимоотношения
З
Здоровье
К
Кулинария-и-гостеприимство
Ф
Финансы-и-бизнес
П
Питомцы-и-животные
О
Образование
О
Образование-и-коммуникации
Nasteahdhdjek
Nasteahdhdjek
22.11.2020 17:05 •  Математика

Вычислить производные указанных функций.
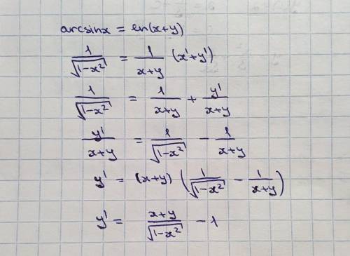
arcsin x=ln (x+y)​

👇
Ответ:
Annetaolk963
Annetaolk963
22.11.2020

решение на фотографии


Вычислить производные указанных функций.arcsin x=ln (x+y)​
4,7(3 оценок)
Открыть все ответы
Ответ:
1)4х=5/7      2)х:2 2/15=1 9/16               3)4 4/9:х=5/27              4)1 4/9х=5,2                                                                         х=4 4/9:5/27               х=5,2:1 4/9
х=5/7:4           х=1 9/16 *2 2/15                   х=40/9*27/5                х=52/10*9/13

х=5/28            х=25/16*32/15                      х=24                           х=4/10*9/1
                       х=10/3
                        х=3 1/3                                                                 х=36/10=3,6
4,6(73 оценок)
Ответ:
NIKROSO
NIKROSO
22.11.2020
Символико-аллегорическая картина Юона – одно из первых произведений, воплотивших образ Октябрьской революции. Картина родилась из эскиза к театральному занавесу. Возможно, поэтому в ней преобладает декоративная условность, отчётливо проступает театральность жестов, движений и облика людей. Тяготение к обобщению, символическим мотивам возникает как следствие размышлений о недавних событиях. Художник пытается осознать революцию как событие вселенского масштаба: в результате космического катаклизма рождается новая планета, озаряющая мир тревожными всполохами света. Люди в смятении и радости наблюдают крушение старого мира. 
«Живая мысль и живое воображение не могут пройти мимо грандиозности событий, не углубившись в их важный мировой смысл, – писал Юон в 1925 году. – Мои личные пути направлены сейчас на то, чтобы… найти язык и знаки дать непосредственное выражение своих идей» . 

Новая планета – это Советская Россия, появление которой сотрясло вселенную и сдвинуло светила с их путей. Крошечные фигурки людей, в ужасе повергнутых на землю или простирающих руки к залитому мистическим светом небу, призваны напомнить о том, что судьба одного человека ничтожна на фоне мировых катаклизмов, одним из которых и видится Юону Октябрьская революция» .
4,7(68 оценок)
Это интересно:
Новые ответы от MOGZ: Математика
logo
Вход Регистрация
Что ты хочешь узнать?
Спроси Mozg
Открыть лучший ответ