М
Молодежь
К
Компьютеры-и-электроника
Д
Дом-и-сад
С
Стиль-и-уход-за-собой
П
Праздники-и-традиции
Т
Транспорт
П
Путешествия
С
Семейная-жизнь
Ф
Философия-и-религия
Б
Без категории
М
Мир-работы
Х
Хобби-и-рукоделие
И
Искусство-и-развлечения
В
Взаимоотношения
З
Здоровье
К
Кулинария-и-гостеприимство
Ф
Финансы-и-бизнес
П
Питомцы-и-животные
О
Образование
О
Образование-и-коммуникации
10012011
10012011
02.11.2021 19:16 •  Математика

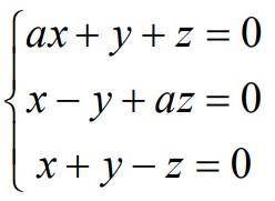
Исследовать существование и единство решения системы для различных значений параметра (а) (для которого (а) значение существует решение, для которого оно одно, для которого - бесконечно множество)


Исследовать существование и единство решения системы для различных значений параметра (а) (для котор

👇
Открыть все ответы
Ответ:
Sobennikovoleg
Sobennikovoleg
02.11.2021
W.A.Mozart wurde am 27.Januar 1756 in Salzburg geboren.Sein Vater wae selbst Musiker.In einigen Jahren begann Mozart zu komponieren.Er machte Konzertreise nach Wien und München.1763-1766 unternahm er mit seiner Schwester Nannerl Europareise.1768 derigierte er seine erste Messe in Salzburg.Ein Jahr später wurde er Hofkonzertmeister.Seine bekanntesten Musikwerke sind "Die Entführung aus dem Serail","Die Hochzeit von Figaro","Don Giovanni","Die Zauberflöte".
Am 5.Dezember 1791 starb W.A.Mozart mittellos und wurde in einem Massengrab beigesetzt.
4,5(23 оценок)
Ответ:
Широкое распространение получила работа с деревом, глиной и фарфором. До сих пор этот вид искусства высоко ценится и активно развивается. Декоративно-прикладное искусство - это и прикладное, и художественное мастерство. В работе используют как традиционные технологии, так и более современные. Изначально являясь народным промыслом, декоративно-прикладное искусство славится разнообразием используемых материалов и техник исполнения, среди которых лепка, литье, роспись, резьба, вышивка, чеканка и другое...
4,7(75 оценок)
Это интересно:
Новые ответы от MOGZ: Математика
logo
Вход Регистрация
Что ты хочешь узнать?
Спроси Mozg
Открыть лучший ответ