М
Молодежь
К
Компьютеры-и-электроника
Д
Дом-и-сад
С
Стиль-и-уход-за-собой
П
Праздники-и-традиции
Т
Транспорт
П
Путешествия
С
Семейная-жизнь
Ф
Философия-и-религия
Б
Без категории
М
Мир-работы
Х
Хобби-и-рукоделие
И
Искусство-и-развлечения
В
Взаимоотношения
З
Здоровье
К
Кулинария-и-гостеприимство
Ф
Финансы-и-бизнес
П
Питомцы-и-животные
О
Образование
О
Образование-и-коммуникации
Love2111
Love2111
18.06.2021 09:53 •  Математика

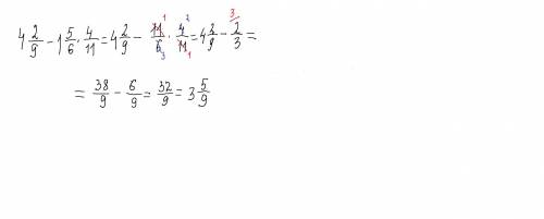
4 2/9-1 5/6*4/11 как правильно расписать

👇
Ответ:
olaskripcenko87
olaskripcenko87
18.06.2021

вот так и расписывай

Пошаговое объяснение:


4 2/9-1 5/6*4/11 как правильно расписать
4,4(37 оценок)
Открыть все ответы
Ответ:
MD200405
MD200405
18.06.2021
и апельсинов столько, сколько груш и слив вместе.
Продали 11,9 кг груш, 10,7 кг слив, 23,1 кг апельсинов. Сколько килограммов фруктов осталось продать?
Решение

 12целых 3/4 - 1целая2/5 =12целых15\20 -1 целая 8/20 =11 целых 7/20 кг-привезли слив
12целых 3/4+11 целых7/20=12целых15\20+11 целых 7/20=                       23 целых 22/20=24 целых 2/20=24целых 1/10 кг привезли апельсинов                
 12целых 3/4+ 11 целых 7/20+24целых 1/10=  12целых 15/20+ 11 целых 7/20+24целых 2/20=47целых4/20=48 целых1/5= 48,2 кг всего фруктов привезли 

 11,9 + 10,7 + 23,1 = 45,7 кг продали фруктов 
48,2 - 45,7 = 2,5 кг осталось продать фруктов
4,6(10 оценок)
Ответ:
rytryt
rytryt
18.06.2021
и апельсинов столько, сколько груш и слив вместе.
Продали 11,9 кг груш, 10,7 кг слив, 23,1 кг апельсинов. Сколько килограммов фруктов осталось продать?
Решение

 12целых 3/4 - 1целая2/5 =12целых15\20 -1 целая 8/20 =11 целых 7/20 кг-привезли слив
12целых 3/4+11 целых7/20=12целых15\20+11 целых 7/20=                       23 целых 22/20=24 целых 2/20=24целых 1/10 кг привезли апельсинов                
 12целых 3/4+ 11 целых 7/20+24целых 1/10=  12целых 15/20+ 11 целых 7/20+24целых 2/20=47целых4/20=48 целых1/5= 48,2 кг всего фруктов привезли 

 11,9 + 10,7 + 23,1 = 45,7 кг продали фруктов 
48,2 - 45,7 = 2,5 кг осталось продать фруктов
4,4(49 оценок)
Новые ответы от MOGZ: Математика
logo
Вход Регистрация
Что ты хочешь узнать?
Спроси Mozg
Открыть лучший ответ