М
Молодежь
К
Компьютеры-и-электроника
Д
Дом-и-сад
С
Стиль-и-уход-за-собой
П
Праздники-и-традиции
Т
Транспорт
П
Путешествия
С
Семейная-жизнь
Ф
Философия-и-религия
Б
Без категории
М
Мир-работы
Х
Хобби-и-рукоделие
И
Искусство-и-развлечения
В
Взаимоотношения
З
Здоровье
К
Кулинария-и-гостеприимство
Ф
Финансы-и-бизнес
П
Питомцы-и-животные
О
Образование
О
Образование-и-коммуникации
sanya1897p08pyj
sanya1897p08pyj
30.10.2022 05:10 •  Математика

Пункта a в пункт b выехал велосипедист аппрат adm 1 час 36 минут мотоциклист.а найдите скорость велосипедиста и мотоциклиста .беря в расчет что в пункт b они приехали одновременно при этом скорость мотоциклиста на 32 километра в час больше чем скорость велосипедиста. расстояние от точки a до точки b 45 километров

👇
Ответ:
lerkakotik1983
lerkakotik1983
30.10.2022

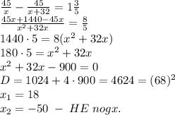
Скорость велосипедиста x км/ч, мотоциклиста (x+32) км/ч. Велосипедист доехал за 48/x часов, мотоциклист за 45/(x+32) ч, что на 1 час 36 мин или 1 3/5 часа быстрее, чем велосипедист, то есть

\frac{45}{x}-\frac{45}{x+32}=1\frac35\\ \frac{45x+1440-45x}{x^2+32x}=\frac85\\ 1440\cdot5=8(x^2+32x)\\ 180\cdot5=x^2+32x\\ x^2+32x-900=0\\ D=1024+4\cdot900=4624=(68)^2\\ x_1=18\\ x_2=-50\;-\;HE\;nogx.

Скорость велосипедиста 18 км/ч, мотоциклиста 18+32 = 50 км/ч.

4,8(54 оценок)
Открыть все ответы
Ответ:
aminamamedova3
aminamamedova3
30.10.2022
8b+55=167         7у+9-5у=13              (720+е)*501=365730
8b=167-55          2у=13-9                    720+е=365730:501
8b=12               2у=4                        720+е=730
b=112:8              у=4:2                        е=730-720
b=14                   у=2                          е=10
                   
8*14+55=167       7*2+9-5у=13             (720+10)*501=365730

(k+2958):87=134
k+2958=134*87
k+2958=11658
k=11658-2958
k=8700

(8700+2958):87=134

8е-14=6е+4               (с-3)*12=20-4*(с+2)
2е=14+4                    12c-36=20-4c+8
2е=18                        16с=36-8+20
е=18:2                       16с=48
е=9                            с=48:16
             с=3   
8*9-14+6*9+4            
                                 (3-3)*12=20-4*(3+2)
насчет последнего я не правильно сделала ((
 не могу его решить 
4,5(22 оценок)
Ответ:
Сергей102007
Сергей102007
30.10.2022

оль дает либо число кратное 10, либо произведение чисел 5 и 2 (числа оканчивающиеся на 5 и кратные 2).

Сколькими нулями оканчивается произведение натуральных чисел:

1) от 1 до 10

Кратные 10: 10 - 1 ноль

Оканчивающиеся на  5: 5 - 1 ноль

Итого 2 нуля.


2) от 15 до 24

Кратные 10: 20 - 1 ноль

Оканчивающиеся на 5: 15 - 1 ноль

Итого 2 нуля.


3) от 10 до 30

Кратные 10: 10, 20, 30 - 3 нуля

Оканчивающиеся  5: 15, 25 - здесь следует учесть, что 25=5*5 - 3 нуля 

Итого 6 нулей


4) от 1 до 100

Кратные 10: 10, 20, 30, 40, 50 (5*10), 60, 70, 80, 90, 100 - 12 нулей

Оканчивающиеся  5: 5, 15, 25(5*5), 35, 45, 55, 65, 75(5*5*3),85,95  - 12

Итого 24 нуля

4,8(62 оценок)
Новые ответы от MOGZ: Математика
logo
Вход Регистрация
Что ты хочешь узнать?
Спроси Mozg
Открыть лучший ответ