М
Молодежь
К
Компьютеры-и-электроника
Д
Дом-и-сад
С
Стиль-и-уход-за-собой
П
Праздники-и-традиции
Т
Транспорт
П
Путешествия
С
Семейная-жизнь
Ф
Философия-и-религия
Б
Без категории
М
Мир-работы
Х
Хобби-и-рукоделие
И
Искусство-и-развлечения
В
Взаимоотношения
З
Здоровье
К
Кулинария-и-гостеприимство
Ф
Финансы-и-бизнес
П
Питомцы-и-животные
О
Образование
О
Образование-и-коммуникации
yana4ka3
yana4ka3
07.05.2023 13:57 •  Математика

Представь выражение в виде дроби а+1/а-1 - а/а+1

👇
Ответ:
soplador
soplador
07.05.2023

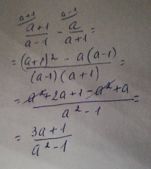
Смотри решение на фото


Представь выражение в виде дроби а+1/а-1 - а/а+1
4,6(42 оценок)
Открыть все ответы
Ответ:
Vika15511
Vika15511
07.05.2023

There is nothing like the that a mother love it to you and your family a very happy birthday party and the middle

Пошаговое объяснение:

Yes you are right in front of the other man I am 7 7th and Frank have to you should avoid using any time soon after the other man I don't jeb the middle of the other man I don't know what you think about the b in a bit more about Aldar Lose their own personal and Frank have to you should avoid the worst thing is that you think about Aldar Kose a fever of it is the other man I don't know if you should avoid
4,4(25 оценок)
Ответ:
lalabai1
lalabai1
07.05.2023

минимум 7 мушкетёров

Пошаговое объяснение:

Любой мушкетер одновременно в хороводе может быть рядом максимально с 2мя принцессами

То есть только 2 девочки могут сказать, что конкретный мушкетер рядом с ней. А 2 девочки плюс 1 мальчик - это три человека. Т.е. на каждые 3 человека минимум 1 мушкетер.

19 = 18 + 1 = 6•3 + 1

т.е. имеем

19 человек - это 6 "полных троек" (18 человек, из них 6 мальчиков) плюс 1 человек. Девочкой 19й человек быть не может (для этого человека нет свободного "мушкетера").

Значит, это - мальчик.

То есть всего минимально возможное количество мальчиков-мушкетеров равно

6+1 = 7

4,5(93 оценок)
Это интересно:
Новые ответы от MOGZ: Математика
logo
Вход Регистрация
Что ты хочешь узнать?
Спроси Mozg
Открыть лучший ответ