. Есть константа(число) и переменные, содержащие степень. А например
одночленом уже не будет.
.






в виде:



и
.
и
.
и
.
. Есть константа(число) и переменные, содержащие степень. А например
одночленом уже не будет.
.






в виде:



и
.
и
.
и
.
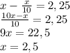
Перенос запятой на один знак влево - это деление заданной дроби на 10.
Пусть задана дробь x, тогда вторая дробь x/10. Первая дробь больше второй на 2,25, то есть
ответ: 2,5.