
озьмем за х кол-во всех страниц в книге. теперь разберемся с %. понятие процента можно определить так: 1% от числа - это его сотая часть. т.е. 1%=0,01. из этого и будем исходить.
тогда за 1 неделю 20%х=0,2х страниц. найдем, сколько она прочитала за 2 неделю. мы знаем, что это 40% остатка. после того, как таня прочитала 0,2х страниц, ей осталось прочитать х-0,2х страниц, а 40% от х-0,2х=0,4(х-0,2х)
0,4(х-0,2х) = 0,4*0,8х = 0,32х - прочитала таня за вторую неделю.
дальше находим прочитанное за 3 неделю. а за 3 она прочитала на 25% больше, чем за 2. находим, сколько составляет 25% от прочитаного за 2 неделю: 25% от 0,32х = 0,25*0,32х = 0,08х. таня прочитала на 0,08х больше, чем за вторую. значит, за 3 неделю прочитано 0,08х+0,32х = 0,4х страниц.
а за 4 неделю таня прочитала оставшиеся 32 страницы. это говорит о том, что, если мы от общего кол-ва страниц отнимем прочитанные за 1, 2 и 3 неделю, у нас должно остаться 32 стр. таким образом
х-(0,2х+0,32х+0,4х)=32
х-0,2х-0,32х-0,4х=32
0,08х=32
х=400
в книге было 400 страниц.
теперь считаем, сколько было прочитано за каждую неделю:
1 неделя: 20% от 400 =0,2*400=80 стр.
2 неделя: 40%от остатка = 40%(400-80)=0,4*320=128 стр.
3 неделя: 128+25% от 128 = 128+0,25*128 = 160 стр.
Пошаговое объяснение:
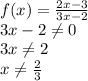
Область определения - это те значения, которые может принимать аргумент х.
x∈(-∞;2/3)∪(2/3;+∞)
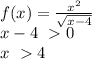
2)
x∈(4;+∞)
3)
x∈(-∞;-2]∪(2;+∞)