М
Молодежь
К
Компьютеры-и-электроника
Д
Дом-и-сад
С
Стиль-и-уход-за-собой
П
Праздники-и-традиции
Т
Транспорт
П
Путешествия
С
Семейная-жизнь
Ф
Философия-и-религия
Б
Без категории
М
Мир-работы
Х
Хобби-и-рукоделие
И
Искусство-и-развлечения
В
Взаимоотношения
З
Здоровье
К
Кулинария-и-гостеприимство
Ф
Финансы-и-бизнес
П
Питомцы-и-животные
О
Образование
О
Образование-и-коммуникации
PolinaCat29
PolinaCat29
20.01.2023 04:01 •  Математика

Сдать зачет по ! : постройте график функции y=x^3-3х+3. найдите наибольшее и наименьшее значения функции на отрезке [ -1/2 ; 3 ]

👇
Ответ:
Redll
Redll
20.01.2023
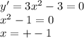
y'=3x^2-3=0 \\ x^2-1=0 \\ x=+-1

     +              -             +
-------------|--------------|--------------
            -1             1
-1 и 1 - точки перегиба
-1 - масимум
1 - минимум

y( -\frac{1}{2} )=(- \frac{1}{2} )^3-3(- \frac{1}{2} )+3=- \frac{1}{8} + \frac{3}{2} +3=- \frac{1}{8} + \frac{12}{8} +3=4 \frac{3}{8} \\ \\ y(3)=3^3-3*3+3=27-9+3=21 \\ \\ y(1)=1^3-3^1+3=1-3+3=1

Минимальное значение (1; 1)
Максимальное значение (3; 21)
Сдать зачет по ! : постройте график функции y=x^3-3х+3. найдите наибольшее и наименьшее значения фун
4,8(83 оценок)
Открыть все ответы
Ответ:
loser80
loser80
20.01.2023

cредняя скорость=  все расстояние 

                               все время в пути.

1)80*4,3=344(км)-проехал за первые 4,3ч.

2)75*3,2=240(км)-проехал за вторый 3,2ч.

3)344+240=584(км)-расстояние за 7,5ч.

4)4,3+3,2+2,5=10(ч)-был по времени в пути.

Пусть х км проехал за 2,5ч, имеем

(584+х):10=78,9

584+х=789

х=205(км)-проехал за 2,5ч.

5)205:2,5=82(км/ч)-скорость в 2,5ч пути.

 

2.

1)24:12=2(ч)-потратил на велосипеде на дорогу.

2)24:6=4(ч)-потратил на дорогу пешком.

3)24+24=48(км)-все расстояние.

4)2+4=6(ч)-все время в пути.

5)48:6=8(км/ч)- средняя скорость его движения на всём маршруте.

4,8(74 оценок)
Ответ:
PidorPro
PidorPro
20.01.2023

 

1 Аа Михель ван дер (род. 1970) ; NLD       2 Абаза Эраст Агеевич (1819-1855) ; RUS       3 Абако Иосиф даль` (1710-1805) ; BEL       4 Абель Карл Фридрих (1723-1787) ; DEU       5 Абеляр Пьер (1079-1142) ; FRA       6 Абраамян Рубен (род. 1981) ; ARM       7 Абрахамсен Ханс (род. 1952) ; DNK       8 Абреу де Зекинья (1880-1935) ; BRA       9 Абт Франц (1819-1885) ; DEU       10 Абэ Кейко (род. 1937) ; JPN       11 Аванесов Артур (род. 1980) ; ARM       12 Августин Рафаль (род. 1951) ; POL       13 Авербах Валерия Львовна (род. 1973) ; RUS       14 Аверкин Александр Петрович (1935-1995) ; RUS       15 Ависон Чарльз (1709-1770) ; GBK       16 Авитрано Джузеппе Антонио (1670-1756)
4,7(93 оценок)
Новые ответы от MOGZ: Математика
logo
Вход Регистрация
Что ты хочешь узнать?
Спроси Mozg
Открыть лучший ответ