
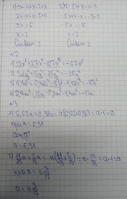
3х-4+х=2+х
3х+х-х=2+4
3х=6
Х=6:3
Х=2
3*2-4+2=2+2
4=4
7-5х+х=х-3
-5х+х-х=-3-7
-5х=-10
Х=10:5
Х=2
7-5*2+2=2-3
-1=-1
13х5+27х5-107х5=-67х5
38у⁴+12у⁴-85у⁴=-35у⁴
4,1а³+0.48а³-10b²-4.58a³=-10b³
8.7m²-12n-5.3m²-3.4m²=-12n
0.02a+0.98a=a=5.91
11/13a+2/13a=13/13a=a=4целых 3/17
Пошаговое объяснение:
вот, и удачи тебе. то что зачеркнуть карандашом, то сократилось в 0, то что ручкой- то я как обычно :) за почерк извини, какой есть