М
Молодежь
К
Компьютеры-и-электроника
Д
Дом-и-сад
С
Стиль-и-уход-за-собой
П
Праздники-и-традиции
Т
Транспорт
П
Путешествия
С
Семейная-жизнь
Ф
Философия-и-религия
Б
Без категории
М
Мир-работы
Х
Хобби-и-рукоделие
И
Искусство-и-развлечения
В
Взаимоотношения
З
Здоровье
К
Кулинария-и-гостеприимство
Ф
Финансы-и-бизнес
П
Питомцы-и-животные
О
Образование
О
Образование-и-коммуникации
nikitavor7135
nikitavor7135
24.07.2020 15:10 •  Математика

АЛГЕБРА, ОБЩИЙ МНОЖИТЕЛЬ. ​


АЛГЕБРА, ОБЩИЙ МНОЖИТЕЛЬ. ​

👇
Ответ:
лошжо
лошжо
24.07.2020


АЛГЕБРА, ОБЩИЙ МНОЖИТЕЛЬ. ​
4,5(24 оценок)
Ответ:
Danlika
Danlika
24.07.2020

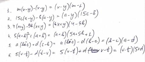
1)( x-y )( m-1 )  

2) ( a-y )( 15c-8 )  

3) ( x+y )( 4-9b )

4) ( a+b )( 5(a+b)+1 )

5) Меням знак у одного слагаемого:

a( b-c ) - d( b-c ) = ( b-c )( a-d )

6) ( v-t )( 5+d )

Пошаговое объяснение

4,6(93 оценок)
Открыть все ответы
Ответ:
stalker1897ox9hzs
stalker1897ox9hzs
24.07.2020
1) у=kx+b, где х - независимая переменная а k и b числа - это линейная функция.
2) Графиком линейной функции является прямая. Для построения прямой достаточно знать две её точки. Следовательно, чтобы построить график линейной функции, нужно найти две любые точки, через которые он проходит. Абсциссу, то есть координату x, для каждой точки выбираем сами. Удобно брать первой x=0. Следующую абсциссу желательно брать на расстоянии, не меньшем 2 единиц, например, x=2, или x=-2. Чем дальше друг от друга расположены точки, тем точнее получится график. Если k и b — дроби, следует (по возможности) подбирать x таким образом, чтобы обе координаты (x;y) являлись целыми числами.
3) С осью абсцисс график функции может иметь любое количество общих точек (или ни одной). С осью ординат — не более одной (так как по определению функции каждому значению аргумента ставится в соответствие единственное значение функции). Чтобы найти точки пересечения графика функции y=f(x) с осью абсцисс, надо решить уравнение f(x)=0 (то есть найти нули функции).Чтобы найти точку пересечения графика функции с осью ординат, надо в формулу функции вместо каждого x подставить нуль, то есть найти значение функции при x=0: y=f(0).
4) у=0 в тех точках, где график пересекает ось х, у больше 0, там где график выше оси х, у меньше 0 там, где график ниже оси х.
5) Если функция задана формулой y=f(x), чтобы найти значение функции по данному значению аргумента, надо в формулу функции вместо каждого икса подставить это значение и вычислить значение y.
6) Всё просто, значение аргумента - это x, а значение функции - это y, так что если у тебя есть y, смотри на ось y(вертикальная), и ищи точку, которая соответствовала бы значению y, теперь смотри на значение точки по оси x(горизонтальной), это и есть x.
7) k>0 график проходит в 1 и 3ч (прямая наклонена вправа)k<0 график проходит во 2 и 4ч (прямая наклонена влева)b>0 график пересекает ось оу выше оси охb<0 график пересекает ось оу ниже оси ох 
к - коэффициент 
8) х=а это прямая, параллельная оси ординат х=0 это ось ординат у=0 это прямая, параллельная оси абсцисс
9) при равенстве коэффициентов прямые совпадут при равенстве к и разных в будут параллельны. при разных к пересекутся для общей формулы: у=кх+в 
10) Чтобы найти координаты точки пересечения графиков двух линейных функций, следует приравнять выражения у в этих функциях. Решив уравнение найдем абсциссу точки пересечения, а подставив значение х в любую из формул, найдем у. Для проверки подставляй в обе формулы, чтобы увидеть, что результаты одинаковые.
11) График функции проходит через точку, если координаты этой точки обращают формулу функции в верное числовое равенство. Таким образом, чтобы выяснить, принадлежит ли графику функции точка, надо подставить координаты точки в формулу функции. Если получится верное числовое равенство, точка лежит на графике.
12) Прямая пропорциональность — функциональная зависимость, при которой некоторая величина зависит от другой величины таким образом, что их отношение остаётся постоянным. Иначе говоря, эти переменные изменяются пропорционально, в равных долях, то есть, если аргумент изменился в два раза в каком-либо направлении, то и функция изменяется тоже в два раза в том же направлении.
13) График прямой пропорциональности представляет собой прямую, проходящую через начало координат.
14) График прямой пропорциональности проходит через начало координат. График прямой пропорциональности есть прямая. Прямая задается двумя точками. Таким образом при построении графика прямой пропорциональности достаточно определить положение двух точек. Но одну из них мы всегда знаем – это начало координат. Осталось найти вторую.
15) при k<0 график расположен в 2 и 4 четвертях при k>0 график расположен в 1 и 3 четвертях
4,7(26 оценок)
Ответ:
1) у=kx+b, где х - независимая переменная а k и b числа - это линейная функция.
2) Графиком линейной функции является прямая. Для построения прямой достаточно знать две её точки. Следовательно, чтобы построить график линейной функции, нужно найти две любые точки, через которые он проходит. Абсциссу, то есть координату x, для каждой точки выбираем сами. Удобно брать первой x=0. Следующую абсциссу желательно брать на расстоянии, не меньшем 2 единиц, например, x=2, или x=-2. Чем дальше друг от друга расположены точки, тем точнее получится график. Если k и b — дроби, следует (по возможности) подбирать x таким образом, чтобы обе координаты (x;y) являлись целыми числами.
3) С осью абсцисс график функции может иметь любое количество общих точек (или ни одной). С осью ординат — не более одной (так как по определению функции каждому значению аргумента ставится в соответствие единственное значение функции). Чтобы найти точки пересечения графика функции y=f(x) с осью абсцисс, надо решить уравнение f(x)=0 (то есть найти нули функции).Чтобы найти точку пересечения графика функции с осью ординат, надо в формулу функции вместо каждого x подставить нуль, то есть найти значение функции при x=0: y=f(0).
4) у=0 в тех точках, где график пересекает ось х, у больше 0, там где график выше оси х, у меньше 0 там, где график ниже оси х.
5) Если функция задана формулой y=f(x), чтобы найти значение функции по данному значению аргумента, надо в формулу функции вместо каждого икса подставить это значение и вычислить значение y.
6) Всё просто, значение аргумента - это x, а значение функции - это y, так что если у тебя есть y, смотри на ось y(вертикальная), и ищи точку, которая соответствовала бы значению y, теперь смотри на значение точки по оси x(горизонтальной), это и есть x.
7) k>0 график проходит в 1 и 3ч (прямая наклонена вправа)k<0 график проходит во 2 и 4ч (прямая наклонена влева)b>0 график пересекает ось оу выше оси охb<0 график пересекает ось оу ниже оси ох 
к - коэффициент 
8) х=а это прямая, параллельная оси ординат х=0 это ось ординат у=0 это прямая, параллельная оси абсцисс
9) при равенстве коэффициентов прямые совпадут при равенстве к и разных в будут параллельны. при разных к пересекутся для общей формулы: у=кх+в 
10) Чтобы найти координаты точки пересечения графиков двух линейных функций, следует приравнять выражения у в этих функциях. Решив уравнение найдем абсциссу точки пересечения, а подставив значение х в любую из формул, найдем у. Для проверки подставляй в обе формулы, чтобы увидеть, что результаты одинаковые.
11) График функции проходит через точку, если координаты этой точки обращают формулу функции в верное числовое равенство. Таким образом, чтобы выяснить, принадлежит ли графику функции точка, надо подставить координаты точки в формулу функции. Если получится верное числовое равенство, точка лежит на графике.
12) Прямая пропорциональность — функциональная зависимость, при которой некоторая величина зависит от другой величины таким образом, что их отношение остаётся постоянным. Иначе говоря, эти переменные изменяются пропорционально, в равных долях, то есть, если аргумент изменился в два раза в каком-либо направлении, то и функция изменяется тоже в два раза в том же направлении.
13) График прямой пропорциональности представляет собой прямую, проходящую через начало координат.
14) График прямой пропорциональности проходит через начало координат. График прямой пропорциональности есть прямая. Прямая задается двумя точками. Таким образом при построении графика прямой пропорциональности достаточно определить положение двух точек. Но одну из них мы всегда знаем – это начало координат. Осталось найти вторую.
15) при k<0 график расположен в 2 и 4 четвертях при k>0 график расположен в 1 и 3 четвертях
4,6(96 оценок)
Новые ответы от MOGZ: Математика
logo
Вход Регистрация
Что ты хочешь узнать?
Спроси Mozg
Открыть лучший ответ