М
Молодежь
К
Компьютеры-и-электроника
Д
Дом-и-сад
С
Стиль-и-уход-за-собой
П
Праздники-и-традиции
Т
Транспорт
П
Путешествия
С
Семейная-жизнь
Ф
Философия-и-религия
Б
Без категории
М
Мир-работы
Х
Хобби-и-рукоделие
И
Искусство-и-развлечения
В
Взаимоотношения
З
Здоровье
К
Кулинария-и-гостеприимство
Ф
Финансы-и-бизнес
П
Питомцы-и-животные
О
Образование
О
Образование-и-коммуникации
KiryaUly
KiryaUly
13.03.2020 06:31 •  Математика

Знайдіть дві різні первісні для функції 1) f(x)=x^19. 2)f(x)=1/x^6​

👇
Ответ:
Азека2008
Азека2008
13.03.2020

Відповідь:

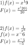
Покрокове п1)f(x)=x^19\\F(x)= \frac{x^(20)}{20}\\ \\\\2)f(x)=\frac{1}{x^6}\\f(x)=x^-6\\ F(x)=\frac{x^-5}{-5}ояснення:

4,8(81 оценок)
Открыть все ответы
Ответ:
SashaPoznavatel
SashaPoznavatel
13.03.2020
Хорошо, давайте приступим к переводу логических формул на естественный язык.

a) A ⇒ ¬(B ∨ C)

Переведем это на естественный язык: "Если сегодня ясно, то сегодня не идет ни дождь, ни снег."

Обоснование: Формула A ⇒ ¬(B ∨ C) означает "если A истинно, то ¬(B ∨ C) также истинно". Здесь A представляет высказывание "сегодня ясно", B - "сегодня идет дождь" и C - "сегодня идет снег". Отрицание (¬) перед выражением (B ∨ C) говорит о том, что высказывание (B ∨ C) является ложным. Таким образом, формула переводится на естественный язык как "Если сегодня ясно, то сегодня не идет ни дождь, ни снег."

b) D ⇔ ¬A

Переведем это на естественный язык: "Сегодня пасмурно тогда и только тогда, когда сегодня не ясно."

Обоснование: Формула D ⇔ ¬A означает "D истинно тогда и только тогда, когда ¬A истинно". Здесь D представляет высказывание "сегодня пасмурно", а A - "сегодня ясно". Таким образом, формула переводится на естественный язык как "Сегодня пасмурно тогда и только тогда, когда сегодня не ясно."

c) D ∧ (C ∨ B)

Переведем это на естественный язык: "Сегодня пасмурно и сегодня идет снег или дождь."

Обоснование: Формула D ∧ (C ∨ B) означает "D истинно и (C ∨ B) истинно". Здесь D представляет высказывание "сегодня пасмурно", B - "сегодня идет дождь" и C - "сегодня идет снег". Оператор ∧ является логическим "И". Таким образом, формула переводится на естественный язык как "Сегодня пасмурно и сегодня идет снег или дождь."

d) (D ⇒ B) ∨ A

Переведем это на естественный язык: "Если сегодня пасмурно, то идет дождь, или сегодня ясно."

Обоснование: Формула (D ⇒ B) ∨ A означает "(D ⇒ B) истинно или A истинно". Здесь D представляет высказывание "сегодня пасмурно", B - "сегодня идет дождь" и A - "сегодня ясно". Оператор ⇒ является логической импликацией "если..., то...". Таким образом, формула переводится на естественный язык как "Если сегодня пасмурно, то идет дождь, или сегодня ясно."

e) D ⇔ (B ∧ ¬C)

Переведем это на естественный язык: "Сегодня пасмурно тогда и только тогда, когда идет дождь и не идет снег."

Обоснование: Формула D ⇔ (B ∧ ¬C) означает "D истинно тогда и только тогда, когда (B ∧ ¬C) истинно". Здесь D представляет высказывание "сегодня пасмурно", B - "сегодня идет дождь" и C - "сегодня идет снег". Оператор ⇔ является логическим эквивалентом "тогда и только тогда, когда...". Таким образом, формула переводится на естественный язык как "Сегодня пасмурно тогда и только тогда, когда идет дождь и не идет снег."

f) (D ⇔ B) ∧ ¬C

Переведем это на естественный язык: "Сегодня пасмурно и идет дождь, и не идет снег."

Обоснование: Формула (D ⇔ B) ∧ ¬C означает "(D ⇔ B) истинно и ¬C истинно". Здесь D представляет высказывание "сегодня пасмурно", B - "сегодня идет дождь", а C - "сегодня идет снег". Оператор ⇔ является логическим эквивалентом "тогда и только тогда, когда...". Оператор ∧ является логическим "И". Таким образом, формула переводится на естественный язык как "Сегодня пасмурно и идет дождь, и не идет снег."
4,6(36 оценок)
Ответ:
даун47
даун47
13.03.2020
Для решения этой задачи, нам нужно посчитать площадь площадки за воротами и пола беседки вместе.

Длина площадки за воротами составляет 10 клеток, а ширина - 5 клеток. Таким образом, площадь площадки за воротами будет равна 10 клеток * 5 клеток = 50 квадратных клеток.

Для нахождения общей площади камня, которого хватит для вымощивания площадки, мы умножаем площадь площадки на площадь 1 клетки.

Площадь 1 клетки составляет 2 м * 2 м = 4 квадратных метра.

Таким образом, общая площадь камня, которого будет достаточно для вымощивания площадки, будет равна площади площадки в квадратных клетках * площадь 1 клетки:

50 квадратных клеток * 4 квадратных метра = 200 квадратных метров.

Таким образом, для вымощивания площадки за воротами и пола беседки потребуется 200 квадратных метров камня.
4,6(25 оценок)
Это интересно:
Новые ответы от MOGZ: Математика
logo
Вход Регистрация
Что ты хочешь узнать?
Спроси Mozg
Открыть лучший ответ