М
Молодежь
К
Компьютеры-и-электроника
Д
Дом-и-сад
С
Стиль-и-уход-за-собой
П
Праздники-и-традиции
Т
Транспорт
П
Путешествия
С
Семейная-жизнь
Ф
Философия-и-религия
Б
Без категории
М
Мир-работы
Х
Хобби-и-рукоделие
И
Искусство-и-развлечения
В
Взаимоотношения
З
Здоровье
К
Кулинария-и-гостеприимство
Ф
Финансы-и-бизнес
П
Питомцы-и-животные
О
Образование
О
Образование-и-коммуникации
alina1930
alina1930
28.07.2021 10:00 •  Математика

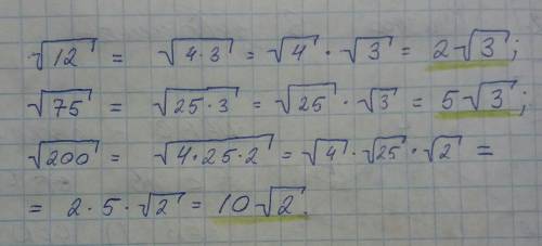
желательно на листочке расписать Вынесите множитель из-под знака корня:
√12
√75
√200

👇
Ответ:

ОТВЕТ

На фото.

ОБЪЯСНЕНИЕ

Тоже на фото. Что непонятно - задавайте вопросы :) .


желательно на листочке расписать Вынесите множитель из-под знака корня: √12 √75 √200
4,4(31 оценок)
Открыть все ответы
Ответ:
Katruna24
Katruna24
28.07.2021

Пошаговое объяснение: Так как уравнение должно иметь ровно 1 корень=> этот корень кратности 3 и значит данный многочлен раскладывается на (bx+-c)^3 и так как корень отрицательный значит берём знак +;

(Bx+C)^3=(Bx)^3+3*(Bx)^2*c+3*bx*c^2+c^3=3x^3-x^2-7x+a-2

Из этого видно, что b= Кубическийкореньиз3=>3x^3-x^2-7x+a-2=3x^3+3*(кубическийкореньиз3)^2*x^2*c+3*кубическийкореньиз3*c^2*x+c^3

-x^2-7x+a-2=3*(кубическийкореньиз3)^2*x^2*c+3*кубическийкореньиз3*c^2*x+c^3 из этого с легкостью можем найти С.

-x^2=3*(кубическийкореньиз3)^2*x^2*c

-1=3*(кубическийкореньиз3)^2*c

С=-1/(3*(кубическийкореньиз3)^2)

=>a-2=(-1/(3*(кубическийкореньиз3)^2))^3

a-2=-1/(27*9)

a-2=-1/243

a=485/243

4,4(88 оценок)
Ответ:
likavudu
likavudu
28.07.2021
1. Люси. У неё золотисто-коричневые волосы, глаза серо-голубые. Характер у неё настойчивый, она невероятно активная, храбрая.
2. Сьюзен. У Сьюзен темные волосы, зеленовато-голубые глаза, она статная, сильная девушка. Она начитанная, умная, но немного зазнаистая.
3. Эдмунд. Эдмунд — кареглазый брюнет со светлой кожей, более низкий ростом, чем Питер. Подчас гораздо более рассудительный, чем старший брат. Сначала он легко поддается чужому влиянию, но потом становится более мудрым и разборчивым.
4. Питер. У него голубые глаза, русые волосы, он достаточно высокий и статный. Нервный, импульсивный, но вместе с тем — невероятно заботливый, особенно c младшей, Люси.
5. Принц Каспиан.  У него карие глаза, темные волосы. Он наблюдательный, смелый и благородный.
4,8(27 оценок)
Это интересно:
Новые ответы от MOGZ: Математика
Полный доступ к MOGZ
Живи умнее Безлимитный доступ к MOGZ Оформи подписку
logo
Вход Регистрация
Что ты хочешь узнать?
Спроси Mozg
Открыть лучший ответ